时间:2019-07-11 03:42:18
1、选择题 一个质量为1kg的物体被人用手由静止开始向上提升了1m,这时物体的速度为2m/s,则下列结论中错误的是
[? ]
A.手对物体做功12J
B.合力对物体做功12J
C.合力对物体做功2J
D.物体克服重力做功10J
参考答案:B
本题解析:
本题难度:一般
2、计算题 如图,长木板ab的b端固定一档板,木板连同档板的质量为M=4.0kg,a、b间距离s=2.0m。木板位于光滑水平面上。在木板a端有一小物块,其质量m=1.0kg,小物块与木板间的动摩擦因数μ=0.10,它们都处于静止状态。现令小物块以初速v0=4.0m/s沿木板向前滑动,直到和档板相撞。碰撞后,小物块恰好回到a端而不脱离木板。求碰撞过程中损失的机械能。 
参考答案:解:设木块和物块最后共同的速度为v,由动量守恒定律
①
设全过程损失的机械能为E,
②
用s1表示从物块开始运动到碰撞前瞬间木板的位移,W1表示在这段时间内摩擦力对木板所做的功。用W2表示同样时间内摩擦力对物块所做的功。用s2表示从碰撞后瞬间到物块回到a端时木板的位移,W3表示在这段时间内摩擦力对木板所做的功。用W4表示同样时间内摩擦力对物块所做的功。用W表示在全过程中摩擦力做的总功,则
W1=
③
W2=
④
W3=
⑤
W4=
⑥
W=W1+W2+W3+W4 ⑦
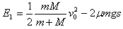
用E1表示在碰撞过程中损失的机械能,则E1=E-W ⑧
由①-⑧式解得
⑨
代入数据得E1=2.4J ⑩
本题解析:
本题难度:困难
3、简答题 如图所示,一个静止的尖劈质量为M,被一个水平飞行的质量为m的小球击中,碰撞过程中没有动能损失,球相对地面竖直向上弹起,若尖劈碰撞后的速度为V,摩擦和空气阻力可忽略.求小球弹起的高度.
参考答案:
本题解析:
本题难度:一般
4、填空题 如图所示,质量相等的两木块中间连有一弹簧,今用力F缓慢向上提A,直到B恰好离开地面,设原来弹簧的弹性势能为EP1。B刚要离开地面时,弹簧的弹性势能为EP2,则EP1?EP2。(填“>、=、<”)?
参考答案:=
本题解析:本题考查的是弹簧弹性势能问题。因为质量相等的两木块,开始时A压缩弹簧的压缩量和后来用力F缓慢向上提A,直到B恰好离开地面时弹簧的伸长量是一样大的。所以
。
本题难度:简单
5、选择题 关于小孩荡秋千,以下说法正确的是:
A.质量越大的孩子荡秋千时摆动的频率越大
B.秋千到达最低点时,孩子会有失重的感觉
C.拉绳被磨损了的秋千,每当摆到最高点时拉绳最容易断裂
D.要想越荡越高,应该在摆到最高点时站立起来,提高重心增加势能
参考答案:D
本题解析:荡秋千的频率只与摆长和当地重力加速度有关,与孩子质量无关,故A错误
秋千到达最低点时,具有向上的向心力,向上的加速度,所以孩子会有超重的感觉,故B错误
摆动过程中,速度越大,向心力越大,摆绳上张力也越大,所以拉绳被磨损了的秋千,每当摆到最低点时拉绳最容易断裂,故C错误
要想越荡越高,应该在摆到最高点时站立起来,提高重心增加势能,D正确
故选D
本题难度:简单