时间:2019-07-11 03:41:57
1、选择题 如图所示,一个带电粒子从粒子源飘入(初速度很小,可忽略不计)电压为U1的加速电场,经加速后从小孔S沿平行金属板A、B的中心线射入.A、B板长为L,相距为d,电压为U2.则带电粒子能从A、B板间飞出应该满足的条件是( )
A.
B.
C.
D. 
参考答案:C
本题解析:带电粒子在电场中被加速,则有
(1)
带电粒子在偏转电场中做类平抛运动,可看成匀速直线运动与匀加速直线运动的两分运动.
匀速直线运动:由运动学公式得 L=vt (2)
匀加速直线运动:设位移为x,则有
(3)
要使带电粒子能飞出电场,则有
(4)
由(1)-(4)可得:
故选:C.
考点:带电粒子在电场中的偏转.
本题难度:困难
2、计算题 如图所示,带正电小球质量为
,带电量为
,置于光滑绝缘水平面上的A点,当空间存在着斜向上的匀强电场时,该小球从静止开始始终沿水平面作匀加速直线运动,当运动到B点时测得其速度
,此时小球的位移为
,求此匀强电场场强E的取值范围。(g=10m/s2)
参考答案:设电场方向与水平面夹角为θ,由动能定理
得
V/m,由题意可知,θ>0,所以当
V/m
为使小球始终沿水平面运动,电场力在竖直方向的分力必须小于等于重力,即:qEsinθ≤mg
所以

即:7.5×104V/m<E≤1.25×105V/m
本题解析:略
本题难度:简单
3、选择题 关于元电荷和点电荷的理解正确的是( )
A.元电荷就是电子
B.元电荷是表示跟电子所带电量数值相等的电量
C.体积很小的带电体就是点电荷
D.点电荷是一种理想化模型
参考答案:BD
本题解析:
本题难度:一般
4、计算题 如图,带电平行板长为L,距离为d将电子(质量为m、电量为-e)在两板中央以速度v0垂直电场方向射入,飞出电场时侧位移为
d。则:
(1)电子在电场中运动的时间为多少,此时所加的偏转电压多大;
(2)进入电场的初速度不变,若使电子不能射出电场,偏转电压应满足的条件。 
参考答案:解:(1)由题意知
①
解得
②
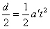
在竖直方向做匀加速直线运动得
d=
at2 ③
a=
④
由②③④联立解得
⑤
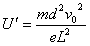
(2)由题意知恰好落在极板上时板间电压最小为
?⑥
=
⑦
由②⑥⑦解得:
本题解析:
本题难度:困难
5、实验题
请你归纳一下,我们学习了哪些起电的方法?这些起电方法的共同特点是什么?
参考答案:
我 91Exam.org们学习了摩擦起电、感应起电和接触起电三种起电方法。
这些起电方法的共同特点是(1)起电过程中都是负电荷在转移
(2)起电过程中电荷量是守恒的
本题解析:
我们学习了摩擦起电、感应起电和接触起电三种起电方法。这些起电方法的共同特点是(1)起电过程中都是负电荷在转移;(2)起电过程中电荷量是守恒的
本题难度:简单