时间:2019-07-11 03:27:24
1、选择题 科学家们使两个带正电的重离子被加速后沿同一条直线相向运动而发生猛烈碰撞,试图用此模拟宇宙大爆炸的情境。为了使碰撞前的动能尽可能多地转化为内能,关键是设法使这两个重离子在碰撞前的瞬间具有( ? )

参考答案:C
本题解析:
本题难度:简单
2、计算题 如图,木板A静止在光滑水平面上,其左端与固定台阶相距x.与滑块B(可视为质点)相连的细线一端固定在O点.水平拉直细线并给B一个竖直向下的初速度,当B到达最低点时,细线恰好被拉断,B从A右端的上表面水平滑入.A与台阶碰撞无机械能损失,不计空气阻力.
已知A的质量为2m,B的质量为m,A、B之间动摩擦因数为μ;细线长为L、能承受的最大拉力为B重力的5倍;A足够长,B不会从A表面滑出;重力加速度为g.
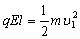
(1)求B的初速度大小v0和细线被拉断瞬间B的速度大小v1
(2)A与台阶只发生一次碰撞,求x满足的条件
(3)x在满足(2)条件下,讨论A与台阶碰撞前瞬间的速度 
参考答案:解:(1)滑块B从释放到最低点,机械能守恒,有:
……①
在最低点,由牛顿运动定律:
……②
又:
……③
联立①②③得:
,
;
(2)设A与台阶碰撞前瞬间,A、B的速度分别为vA和vB,由动量守恒
……④
若A与台阶只碰撞一次,碰撞后必须满足:
……⑤
对A应用动能定理:
……⑥
联立④⑤⑥解得:
……⑦
即A与台阶只能碰撞一次的条件是:
(3)设x=时,A左端到台阶板前瞬间,A、B恰好达到共同速度
,由动量守恒
……⑧
对A应用动能定理:
……⑨
联立⑧⑨得:
……⑩
(i)当
即
时,AB共速后A与挡板碰撞.
由⑧可得A与台阶碰撞前瞬间的速度:
……⑩
(ii)当
即
时,AB共速前A就与台阶碰撞,
对A应用动能定理:
A与台阶碰撞前瞬间的速度:
本题解析:
本题难度:一般
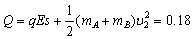
3、计算题 如图所示,在绝缘水平面上的P点放置一个质量为mA=0.02kg的带负电滑块A,带电荷量q=1.0×10-6 C。在A的左边相距的Q点放置一个不带电的滑块B,质量为mB=0.04kg,滑块B距左边竖直绝缘墙壁s=0.15m。在水平面上方空间加一方向水平向右的匀强电场,电场强度为E=4.0×105N/C,使A由静止释放后向左滑动并与B发生碰撞,碰撞的时间极短,碰撞后两滑块结合在一起共同运动,与墙壁发生碰撞时没有机械能损失,两滑块都可以视为质点。已知水平面OQ部分粗糙,其余部分光滑,两滑块与粗糙水平面OQ间的动摩擦因数均为μ=0.50,假设最大静摩擦力等于滑动摩擦力,取g=10m/s2。求:
(1)A经过多少时间与B相碰?相碰结合后的速度是多少?
(2)AB与墙壁碰撞后在水平面上滑行的过程中,离开墙壁的最大距离是多少?
(3)A、B相碰结合后的运动过程中,由于摩擦而产生的热是多少?通过的总路程是多少? 
参考答案:解:(1)由于PQ部分光滑,滑块A只在电场力作用下加速运动,设经时间t与B相碰,A与B相遇前的速度大小为v1,结合后的共同速度大小为v2,则 

解得
s,
m/s
滑块A、B碰撞的过程中动量守恒,即
,
m/s
(2)两滑块共同运动,与墙壁发生碰撞后返回,第一次速度为零时,两滑块离开墙壁的距离最大,设为
,在这段过程中,由动能定理得
解得
m
(3)由于
N,
N,
,即电场力大于滑动摩擦力,AB向右速度为零后在电场力的作用下向左运动,最终停在墙角O点处,设由于摩擦而产生的热为Q,由能量守恒得
J
设AB第二次与墙壁发生碰撞后返回,滑块离开墙壁的最大距离为
,假设L2<s,在这段过程中,由动能定理得
,解得L2≈0.064m
L2<s=0.15m ,符合假设,即AB第二次与墙壁发生碰撞后返回停在Q点的左侧,以后只在粗糙水平面OQ上运动
设在粗糙水平面OQ部分运动的总路程s1,则
,s1=0.6m
设AB相碰结合后的运动过程中通过的总路程是s2,则
,
m
本题解析:
本题难度:困难
4、计算题 如图所示,木板A质量mA=1 kg,足够长的木板B质量mB
=4 kg,质量为mC=4 kg的木块C置于木板B上,水平面光滑,B、C之间有摩擦.现使A以v0=12 m/s的初速度向右运动,与B碰撞后以4 m/s速度弹回.g=10 m/s2,求:
(1)B运动过程中的最大速度大小;
(2)碰撞后C在B上滑行了2 m,求B、C之间动摩擦因数大小.
参考答案:(1)4 m/s
(2)0.2
本题解析:
本题难度:一般
5、选择题 如图甲所示,在光滑水平面上的两小球发生正碰。小球的质量分别为m1和m2。图乙为它们碰撞前后的s-t(位移时间)图象。已知m1=0.1㎏。由此可以判断 
[? ]
A.碰前m2静止,m1向右运动
B.碰后m2和m1都向右运动
C.m2=0.2kg
D.碰撞过程中系统损失了0.4J的机械能
参考答案:A
本题解析:
本题难度:一般