-->

1、选择题  在如图所示的电路中,电源电动势为E、内电阻为r,R1、R2为定值电阻,当滑动变阻器R3的滑动片P由a向b移动时
600)makesmallpic(this,600,1800);\' ">

高考物理答题模板《闭合电路的欧姆定律》考点巩固(2019年最新版)

时间:2019-07-02 23:25:15

微信搜索关注"91考试网"公众号,领30元,获取事业编教师公务员等考试资料40G

1、选择题  在如图所示的电路中,电源电动势为E、内电阻为r,R1、R2为定值电阻,当滑动变阻器R3的滑动片P由a向b移动时
600)makesmallpic(this,600,1800);\' style=\"VERTICAL-ALIGN: middle\" border=\"0\" src=\"http://www_php168_com/91files/2016060414/3inedn5abfx.gif\">
[? ]
A.电压表示数变大,电流表示数变小
B.电压表示数变小,电流表示数变大
C.电压表和电流表的示数均变大
D.电压表和电流表的示数均变小


参考答案:D


本题解析:


本题难度:一般



2、填空题  如图a所示的电路中,当电路两端接入某一恒定电压的电源时,测得流过R4的电流为5mA,流过R3的电流为3mA.现将R3改接在R2所在的支路上,如图b所示的电路中,再接到原来的恒定电源上,与a图情况相比,四个电阻中电流增大的是______,电流减小的是______.
600)makesmallpic(this,600,1800);\' alt=\"91考试网\" src=\"http://www_php168_com/91files/2016060414/ge4ravvmpwj.png\">


参考答案:在图a中,流过R4的电流为5mA,流过R3的电流为3mA,则R2>R1+R3.整个电路的总电阻R=R4+R2(R1+R3)R2+R1+R3=R4+R1R2+R2R3R1+R2+R3

在图a中,整个电路的总电阻R′=R4+R1(R2+R3)R2+R1+R3=R4+R1R2+R1R3R1+R2+R3
因为R2>R1,所以得到R>R′,电路总电压一定,所以通过R4的电流增大,并联部分的电压减小,通过R2、R3的电流减小,则得通过R1的电流增大.
故答案为:R1、R4,R2、R3


本题解析:


本题难度:一般



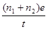
3、选择题  如图所示,在1价离子的电解质溶液内插有两根碳棒A和B作为电极,将它们接在直流电源上,于是溶液里就有电流通过。若在t秒内,通过溶液内截面S的正离子数为n1,通过的负离子数为n2,设基本电荷为e,则以下说法中正确的是(?)
600)makesmallpic(this,600,1800);\' src=\"http://www_php168_com/91files/2016060415/kx1r2qrbbk2.png\" style=\"vertical-align:middle;\">
A.正离子定向移动形成的电流方向从A→B,负离子定向移动形成的电流方向从B→A
B.溶液内由于正负离子移动方向相反,溶液中的电流抵消,电流等于零
C.溶液内的电流方向从A→B,电流I=600)makesmallpic(this,600,1800);\' src=\"http://www_php168_com/91files/2016060415/11kniua5nbp.png\" style=\"vertical-align:middle;\">
D.溶液内的电流方向从A→B,电流I=600)makesmallpic(this,600,1800);\' src=\"http://www_php168_com/91files/2016060415/gozvksignse.png\" style=\"vertical-align:middle;\">


参考答案:D


本题解析:电流方向与正电荷移动方向相同,与负电荷移动方向相反,AB错。600)makesmallpic(this,600,1800);\' src=\"http://www_php168_com/91files/2016060415/qike1qhpl4f.png\" style=\"vertical-align:middle;\">,C错D对。


本题难度:一般



4、选择题  如图所示的电路中,R1是定值电阻,R2是光敏电阻,电源的内阻不能忽略.闭合开关S,当光敏电阻上的光照强度增大时,下列说法中正确的是(  )
600)makesmallpic(this,600,1800);\' src=\"http://www_php168_com/91files/2016060415/35lrmgnr3nv.jpg\" style=\"vertical-align:middle;\">
A.通过R2的电流减小
B.电源的路端电压减小
C.电容器C所带的电荷量增加
D.电源的效率增大


参考答案:B


本题解析:当光敏电阻上的光照强度增大时,光敏电阻阻值减小,通过R2的电流增大,电源的路端电压减小,电容器C所带的电荷量减小,电源效率η=U/E减小,选项A、C、D错误,B正确.


本题难度:一般



5、选择题  演示位移传感器的工作原理如图所示,物体M在导轨上平移时,带动滑动变阻器的金属滑杆P,通过电压表显示的数据来反映物体位移的大小x.假设电压表是理想的,则下列说法正确的(  )
A.物体M运动时,电源内的电流不会发生变化
B.物体M运动时,电压表的示数会发生变化
C.物体M不动时,电路中没有电流
D.物体M不动时,电压表没有示数
600)makesmallpic(this,600,1800);\' alt=\"91考试网\" src=\"http://www_php168_com/91files/2016060414/yx43nkwexu5.png\">


参考答案:
A、物体M运动时,电路中电阻没有变化,根据欧姆定律可知,电源内的电流不会发生变化.故A正确.
B、电压表测量变阻器左侧的电压,物体M运动时,左侧电压会变化,而理想电压表对电路没有影响,则电压表的示数会发生变化.故B正确.
C、物体M不动时,电路中仍有电流,而且电流不变.故C错误.
D、只有当触头P停在变阻器最左端时,物体M不动时,电压表没有示数,当触头P在其他位置时,电压表仍有示数.故D错误.
故选AB


本题解析:


本题难度:简单




微信搜索关注"91考试网"公众号,领30元,获取公务员事业编教师考试资料40G
【省市县地区导航】【考试题库导航】
 ★ 高考省级导航 ★ 
全国 A安徽 B北京 C重庆 F福建 G广东 广西 甘肃 贵州 H河南 河北 湖南 湖北 黑龙江 海南 J江苏 江西 吉林 L辽宁 N内蒙古 宁夏 Q青海 S山东 山西 陕西 四川 上海 T天津 X新疆 西藏 Y云南 Z浙江
 ★ 高考信息汇总 ★ 
 ★ 高考历年真题 ★ 
 ★ 高考历年真题 ★ 
 ★ 高考题库 ★ 
 ★ 高考题库 ★ 

电脑版  |  手机版  |  返回顶部