时间:2019-06-29 06:15:56
1、实验题 某同学在应用打点计时器做验证机械能守恒定律实验中,获取一根纸带如图,但测量发现0、1两点距离远大于2mm,且0、1和1、2间有点漏打或没有显示出来,而其他所有打点都是清晰完整的,现在该同学用刻度尺分别量出2、3、4、5、6、7六个点到0点的长度hi(i="1.2." 3…6),再分别计算得到3、4、5、6四个点的速度vi和vi2(i=" 2." 3. 4. 5),已知打点计时器打点周期为T.
(1)该同学求6号点速度的计算式是:
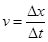
?=?
(2)然后该同学将计算得到的四组(hi,vi2)数据在v2- h坐标系中找到对应的坐标点,将四个点连接起来得到如图所示的直线,请你回答:接下来他是如何判断重锤下落过程机械能守恒的?(说明理由)
参考答案:(1)
?(2)见解析
本题解析:(1) 6号点的速度为:5号点到7号点间的平均速度即
;
(2) 根据机械能守恒定律,从0点到任意i点有?
得到:?
?
关系是一条直线?斜率为2g
所以只要在直线上取相对较远两点,计算出斜率,与2g比较,在实验误差范围内相等即可。
点评:中等难度。本实验速度不能用
或
计算,因为只要认为加速度为g,机械能当然守恒,即相当于用机械能守恒定律验证机械能守恒定律,况且用
计算出的速度比实际值大,会得出机械能增加的错误结论,而因为摩擦阻力的影响,机械能应该减小,所以速度应从纸带上直接测量计算。
本题难度:简单
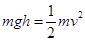
2、实验题 一同学利用如图所示的实验装置验证机械能守恒定律。该弧形轨道的末端水平,离地面的高度为H。现将一钢球从轨道的某一高度h处由静止释放,钢球的平均落点距离轨道末端的水平距离为x。
(1)若实验所测得的数据在误差范围内 满足
=__________(用H、h表示),
则说明钢球从释放到落地的过程中机械能守恒。
(2)实际上轨道是不光滑的,钢球下滑过程需要克服摩擦力做功,已知测得钢球的质量为m,则钢球在下滑过程中克服摩擦力做功大小为___________。(不计空气阻力)
参考答案:4
(2分),?
(2分)
本题解析:略
本题难度:简单
3、实验题 (1)某同学用螺旋测微器测定某一金属丝的直径时,测得的结果如图甲所示,则该金属丝的直径d= ? mm;另一位同学用游标尺测一工件的长度,测得的结果如图乙所示,则该工件的长度L= ? cm.
(2)某同学利用如图甲所示的实验装置测量重力加速度.
①请指出该同学在实验操作中存在的两处明显错误或不当:
?;?.
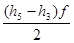
②该同学经正确操作得到如图乙所示的纸带,取连续的六个打点A、B、C、D、E、F为计数点,测得点A到B、C、D、E、F的距离分别为h1、h2、h3、h4、h5.若打点的频率为f,则打E点时重物速度的表达式为vE =?;若分别计算出各计数点对应的速度数值,并在坐标系中画出速度的二次方(v2)与距离(h)的关系图线,如图丙所示,则重力加速度g=?m/s2.
参考答案:(1)2.706(或2.705 、2.707);? 5.015 (2)①打点计时器应接交流电源 ;重物释放时应紧靠打点计时器②
?;? 9.4
本题解析:螺旋测微器读数:主尺2.5mm,游标20.5*0.01mm,所以读数为2.705mm,游标卡尺的读法主尺50mm,游标3*0.05mm,所以读数为50.15mm即5.015cm。打点计时器应接交流电源且重物应靠近打点计时器,图中存在明显错误。
根据
可知
,根据机械能守恒定律
,可知该图像中斜率为重力加速度2倍,即重力加速度为9.4m/s2。
点评:此类题型考察基本仪器的使用,读图识别图的能力
本题难度:一般
4、简答题 某同学做“探究弹力和弹簧伸长的关系”的实验,他先把弹簧平放在桌面上使其自然伸长,用刻度尺测出弹簧的原长L0,再把弹簧竖直悬挂起来,挂上砝码后测量弹簧伸长后的长度L,把L-L0作为弹簧的伸长量x.这样操作,由于弹簧自身重力影响,最后画出的图线可能是( )
A.
B.
C.
D.
参考答案:(1)实验中用横轴表示弹簧的伸长量x,纵轴表示弹簧的拉力F(即所挂重物的重力大小)
(2)弹簧平放时测量自然长度,此时弹簧伸长量为0cm;
(3)当竖直悬挂时,由于自身重力的影响弹簧会有一段伸长量,但此时所挂重物的重力为0N(即:F=0N)
(4)因为在弹簧的弹性限度内,弹簧的伸长与其所受的拉力成正比,综合上述分析四个图象中只有C符合.
故选C.
本题解析:
本题难度:一般
5、选择题 不定项选择
下列有关物体受外力及形变的说法正确的是(? )
A.有力作用在物体上,物体一定发生形变,撤去此力后形变完全消失
B.有力作用在物体上物体不一定发生形变
C.力作用在硬物体上,物体不发生形变;力作用在软物体上,物体才发生形变
D.一切物体受到外力作用都要发生形变,外力撤去后形变不一定完全消失
参考答案:B
本题解析:
本题难度:简单