高考物理知识点总结《电场强度》高频试题预测(2019年最新版)(一)

时间:2019-06-29 06:14:14

微信搜索关注"91考试网"公众号,领30元,获取事业编教师公务员等考试资料40G

1、选择题  在电场中某点引入电荷量为q的正电荷,这个电荷受到的电场力为F,则( ? )
A.在这点引入电荷量为2q的正电荷时,该点的电场强度将等于
B.在这点引入电荷量为3q的正电荷时,该点的电场强度将等于
C.在这点引入电荷量为2e的正离子时,则离子所受的电场力大小为2e
D.若将一个电子引入该点,则由于电子带负电,所以该点的电场强度的方向将和在这一点引入正电荷时相反



2、选择题  空间有p、q两个点电荷,仅在相互间的库仑力作用下从静止开始运动,开始时p的加速度为a,q的加速度为4a,经过一段时间后,q的加速度为a,速度达到v,则这时p的加速度和速度的大小为(?)


A.4a,4v
B.a/4,v/4
C.4a,v/4
D.a/4,4v



3、选择题  如图所示,正六边形ABCDEF的六个顶点各有一个电量相等的点电荷,正六边形的中点O,电场强度为零,现拿走几个电荷后,仍使O点的场强为零,拿走的电荷数可能为(  )
A.1
B.2
C.3
D.4

91考试网



4、简答题  如图所示,在光滑绝缘的水平面上,有一静止在A点质量为m=0.2kg、带负电的小球,现加一水平方向的匀强电场使小球由A点运动到B点,电场力做功为W=0.6J,已知A、B两点间距离为d=0.4m,电场强度的大小为E=2×103?V/m.
(1)判断匀强电场的场强方向;
(2)求A、B两点间的电势差;
(3)求小球的电量.91考试网



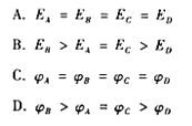
5、选择题  如图,在等量异种点电荷形成的电场中,O为两电荷连线的中点,B、D位于该连线上,A、C位于该连线的中垂线上,ABCD构成一正方形。关于A、B、C、D四点的场强大小E和电势的关系,正确的是





首页 上页 1 2 3 下页 尾页 1/10/10
微信搜索关注"91考试网"公众号,领30元,获取公务员事业编教师考试资料40G
【省市县地区导航】【考试题库导航】
 ★ 高考省级导航 ★ 
全国 A安徽 B北京 C重庆 F福建 G广东 广西 甘肃 贵州 H河南 河北 湖南 湖北 黑龙江 海南 J江苏 江西 吉林 L辽宁 N内蒙古 宁夏 Q青海 S山东 山西 陕西 四川 上海 T天津 X新疆 西藏 Y云南 Z浙江
 ★ 高考信息汇总 ★ 
 ★ 高考历年真题 ★ 
 ★ 高考历年真题 ★ 
 ★ 高考题库 ★ 
 ★ 高考题库 ★ 

电脑版  |  手机版  |  返回顶部