高中物理知识点总结《气体的状态方程》高频试题预测(2019年最新版)(九)

时间:2019-06-29 06:12:51

微信搜索关注"91考试网"公众号,领30元,获取事业编教师公务员等考试资料40G

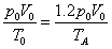
1、填空题  如图所示为0.5mol某种气体的p~t图线,图中p0为标准大气压.则气体在标准状况下的体积是______?L,在B状态时的体积是______?L.91考试网


参考答案:1mol任何气体在标准状况下的体积为22.4L,0.5mol某种气体在标准状况下的体积是11.2L.
根据气体状态方程PVT=C知道,
在P-T图象中等容线为过原点的直线,其中T为热力学温度温度.
所以在图中,虚线及延长线为等容线,A点的体积为11.2L.
A到B,压强不变,根据气体状态方程PVT=C得:
VATA=VBTB
VB=14L.
故答案为:11.2,14


本题解析:


本题难度:一般



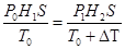
2、计算题  如图,柱形容器内用不漏气的轻质绝热活塞封闭一定量的理想气体,容器外包裹保温材料。开始时活塞至容器底部的高度为H1,容器内气体温度与外界温度相等。在活塞上逐步加上多个砝码后,活塞下降到距容器底部H2处,气体温度升高了△T;然后取走容器外的保温材料,活塞位置继续下降,最后静止于距容器底部H3处:已知大气压强为p0。求:气体最后的压强与温度。


参考答案:?


本题解析:由
,气体压强不变,
解方程得
【考点定位】理想气体状态方程


本题难度:一般



3、选择题  如图所示,竖直倒置的两端封闭且等长的U形管,弯曲段有汞柱将左管和右管的空气柱M和N隔开,当M和N的温度相同时,左管内空气柱M较长。若要使M、N温度分别升高△tM和△tN后,汞柱仍在原来的位置,则△tM和△tN可能分别为?

[? ]
A. 20℃、10℃?
B. 20℃、30℃?
C. 30℃、20℃?
D. 10℃、20℃


参考答案:AC


本题解析:


本题难度:一般



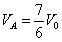
4、计算题  如图,绝热气缸A与导热气缸B均固定于地面,由刚性杆连接的绝热活塞与两气缸间均无摩擦。两气缸内装有处于平衡状态的理想气体,开始时体积均为V0、温度均为T0。缓慢加热A中气体,停止加热达到稳定后,A中气体压强为原来的1.2倍。设环境温度始终保持不变,求气缸A中气体的体积VA和温度TA。


参考答案:解:设初态压强为,膨胀后A,B压强相等

B中气体始末状态温度相等


A部分气体满足


本题解析:


本题难度:一般



5、选择题  如图8-3-5所示,导热汽缸开口向下,内有理想气体,缸内活塞可自由滑动且不漏气,活塞下挂一个砂桶,砂桶装满砂子时,活塞恰好静止,现在把砂桶底部钻一个小洞,细砂慢慢漏出,并缓慢降低汽缸外部环境温度,则(?)

图8-3-5
A.气体压强增大,内能可能不变
B.外界对气体做功,气体温度可能降低
C.气体体积减小,压强增大,内能一定减小
D.外界对气体做功,气体内能一定增加


参考答案:C


本题解析:要正确解答本题必须抓住几个关键的词语,“细砂慢慢漏出”、“缓慢降低”温度、“导热汽缸”所隐含的内容为:活塞受力平衡,内部气体压强增大;缸内气体温度逐渐降低,则气体内能减小.
细砂慢慢漏出的过程中,由活塞的受力情况可知,缸内气体的压强逐渐增大,又因为内部气体温度随外界温度而降低,所以活塞将缓慢上升,其能量的转化情况是外界对气体做功,气体对外放热,气体内能减小,所以正确的选项为C.


本题难度:简单




首页 上页 8 9 10 下页 尾页 9/10/10
微信搜索关注"91考试网"公众号,领30元,获取公务员事业编教师考试资料40G
【省市县地区导航】【考试题库导航】
 ★ 高考省级导航 ★ 
全国 A安徽 B北京 C重庆 F福建 G广东 广西 甘肃 贵州 H河南 河北 湖南 湖北 黑龙江 海南 J江苏 江西 吉林 L辽宁 N内蒙古 宁夏 Q青海 S山东 山西 陕西 四川 上海 T天津 X新疆 西藏 Y云南 Z浙江
 ★ 高考信息汇总 ★ 
 ★ 高考历年真题 ★ 
 ★ 高考历年真题 ★ 
 ★ 高考题库 ★ 
 ★ 高考题库 ★ 

电脑版  |  手机版  |  返回顶部