时间:2019-06-29 06:07:02
1、选择题 如图所示,“U”形金属框架固定在水平面上,处于竖直向下的匀强磁场中。ab棒以水平初速度v0向右运动,下列说法正确的是
A.ab棒做匀减速运动
B.回路中电流均匀减小
C.a点电势比b点电势低
D.ab棒受到水平向左的安培力
参考答案:D
本题解析:当棒向右运动时,切割磁感线,回路中产生感应电流,电流通过棒时又会受到安培力的作用,使得棒做减速运动,因为棒受到的安培力大小为F=
,故安培力的大小与速度有关,速度减小时,安培力也减小,故棒的加速也会减小,所以棒做变减速运动,选项A错误;由于回路中的电流与速度的大小有关,速度的减小不是均匀的,故回路中电流的减小也不是均匀的,选项B错误;由右手定则可知,棒中电流的方向由b到a,故a点电势比b点电势高,选项C错误;再由左手定则可知ab棒受到水平向左的安培力,故选项D正确。
考点:感应电动势,安培力,牛顿第二定律。
本题难度:一般
2、选择题 下列说法中正确的是,感应电动势的大小? (? )
A.跟穿过闭合电路的磁通量变化率成正比
B.跟穿过闭合电路的磁通量的变化大小有关系
C.跟穿过闭合电路的磁通量的变化快慢有关系
D.跟电路的电阻大小有关系
参考答案:AC
本题解析:根据法拉第电磁感应定律,感应电动势的大小
可知,感应电动势的大小跟磁通量变化率有关,因此AC正确
点评:本题考查了法拉第电磁感应定律,要仔细理解磁通量变化率的含义。
本题难度:简单
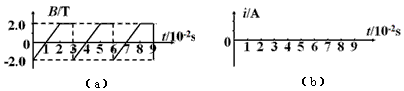
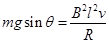
3、计算题 高频焊接是一种常用的焊接方法,下图是焊接的原理示意图。将半径为r=10cm的待焊接的环形金属工件放在线圈中,然后在线圈中通以高频变化电流,线圈产生垂直于工件所在平面的匀强磁场,磁感应强度B随时间t的变化规律如图(a)所示,t=0时刻磁场方向垂直线圈所在平面向外。工件非焊接部分单位长度上的电阻R0=1.0×10-3 Ω×m-1,焊缝处的接触电阻为工件非焊接部分电阻的9倍,焊接的缝宽非常小,不计温度变化对电阻的影响。
(1)求环形金属工件中感应电流的大小,在图(b)中画出感应电流随时间变化的i-t图象(以逆时针方向电流为正);
(2)求环形金属工件中感应电流的有效值;
(3)求t=0.30s内电流通过焊接处所产生的焦耳热。
? 
参考答案:(1)
(2)I有=816A
(3)Q=1.13×103J
本题解析:
本题难度:一般
4、选择题 下列各种情况中的导体切割磁感线产生的感应电动势最大的是(?)
参考答案:C
本题解析:根据感应电动势公式E=BLv中,L是有效的切割长度,即是跟速度垂直的方向导体的长度或长度在这个方向的投影,进行分析选择.
解:设磁场间宽度为d
A、感应电动势E=Bdv.
B、感应电动势E=Bdv.
C、感应电动势E=B
v.
D、感应电动势E=Bdv.?
故C最大,故选C
本题难度:简单
5、选择题 如图所示,相距为L的两条足够长的光滑平行金属导轨与水平面的夹角为
,上端接有定值电阻,匀强磁场垂直于导轨平面,磁感应强度为B。将质量为m的导体棒由静止释放,当速度达到
时开始匀速运动,此时对导体棒施加一平行于导轨向下的拉力,并保持拉力的功率为P,导体棒最终以
的速度匀速运动。导体棒始终与导轨垂直且接触良好,不计导轨和导体棒的电阻,重力加速度为g,下列选项正确的是(?)
A.
B.
C.当导体棒速度达到
时加速度为
D.在速度达到
以后匀速运动的过程中,R上产生的焦耳热等于拉力所做的功
参考答案:AC
本题解析:当速度达到
时开始匀速运动,受力分析可得
,导体棒最终以
的速度匀速运动时,拉力为
,所以拉力的功率为
,选项A正确B错误。当导体棒速度达到
时安培力
,加速度为
,选项C正确。在速度达到
以后匀速运动的过程中,根据能量守恒定律,R上产生的焦耳热等于拉力所做的功加上重力做的功,选项D错误,
本题难度:简单