时间:2019-06-29 06:03:57
1、选择题 静止在光滑水平面上的物体受到一个水平拉力的作用,该力随时间变化的关系如图所示,则( )
A.物体将做往复运动
B.2s内物体的位移为零
C.2s末物体的速度最大
D.3s末物体的加速度最大
参考答案:A
本题解析:在0-1s时间内力F逐渐减小,但物体沿着正方向做变加速直线运动,到1s时刻速度最大,在1-2s时间内力的方向反向,物体沿着正方向做减速运动,由对称性可知在2s时刻物体的速度减小到零,在2-3s时间内物体沿着负方向做加速运动,在3s时刻速度增大到福相最大,由此可知物体做的是往复运动,A对;2s内物体的位移最大,B错;2s末物体的速度刚好减小到零,C错;3s时刻物体所受合外力为零,加速度为零,D错;
点评:难度较小,根据牛顿第二定律理解力与加速度的瞬时性,巧妙应用对称性有助于理解本类型题
本题难度:一般
2、选择题 在水平地面上,A、B两物体叠放如图所示,在水平力F的作用下一起匀速运动,若改将水平力F作用在A上,两物体可能发生的情况是?(?)
A.A、B一起匀速运动
B.A加速运动,B匀速运动
C.A加速运动,B静止
D.A与B一起加速运动
参考答案:AC
本题解析:若F不足以使AB发生相对运动,则根据整体法可得整体仍旧受到F和地面的摩擦力,所以仍旧做匀速运动,A正确,若F可以使AB之间发生相对运动,则可能A加速运动,B受到的A给的摩擦力不足以克服地面给B的摩擦力,则B静止,所以C正确,
本题难度:简单
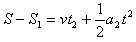
3、计算题 如图,传送带与地面倾角θ=37°,从A到B长度为16m,传送带以10m/s的速率逆时针转动。在传送带的上端A处无初速地放一个质量为0.5kg的物体,它与传送带之间的动摩擦因数为0.5。求物体从A运动到B所需时间是多少?(g取10m/s2,sin37°=0.6,cos37°=0.8)

参考答案:解:设A物体由静止到达到10m/s的速度所走位移为S1,所用时间为t1,加速度为a1
经受力分析知:
解得
由匀变速直线运动的速度位移公式得
<16m 
物体速度大于10m/s后,所受摩擦力方向改为沿带向上,此时加速度 
所以,后一阶段所用时间由
,解得
物体从A到B所需时间为T=t1+t2=2s
本题解析:
本题难度:一般
4、选择题 在倾角为θ的斜面上放一球,球被竖直板挡住,如图所示。在拿开挡板的瞬间,小球的加速度为
[? ]
A.gsinθ,沿斜面向下
B.gcosθ,沿斜面向下
C.gtanθ,水平向左
D.gcotθ,水平向左
参考答案:A
本题解析:
本题难度:一般
5、选择题 绳与竖直成某一固定角度,如图所示,若在汽车底板上还有一个跟其相对静止的物体m1,则关于汽车的运动情况和物体m1的受力情况正确的是( )
A.汽车一定向右做加速运动
B.汽车一定向左做加速运动
C.m1除受到重力、底板的支持力作用外,还一定受到向右的摩擦力作用
D.m1除受到重力、底板的支持力作用外,还可能受到向左的摩擦力作用
参考答案:对小球受力分析,受拉力和重力,如图,结合运动情况可知,合力水平向右
由几何关系
F合=m2gtanθ 水平向右
根据牛顿第二定律
a═gtanθ 水平向右
故小车向左做匀减速直线运动或者向右做匀加速直线运动,因而A错误,B也错误;
由于木块的加速度也向右,故合力向右,再对木块受力分析,受重力、支持力和摩擦力,根据牛顿第二定律
f=m1a=m1gtanθ
故C正确,D错误;
故选C.
本题解析:
本题难度:一般