时间:2019-06-29 06:03:36
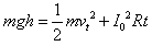
1、简答题 如图甲所示,两根电阻不计的光滑平行金属导轨水平固定放置,间距为d ="0.5" m,左端连接一个阻值为R=2 W的电阻,右端连接一个阻值为RL="4" W的小灯泡,在矩形区域CDFE内有竖直向上的匀强磁场,磁感应强度B随时间按图乙所示变化,CE长为x="2" m。在t=0时刻,一阻值为r="2" W的金属棒在恒力F作用下由静止开始从图示的ab位置沿导轨向右运动,金属棒从ab运动到EF的过程中,小灯泡的亮度始终没有发生变化,求:
(1) 通过小灯泡的电流强度;
(2) 恒力F的大小;
(3) 金属棒的质量。
参考答案:(1)0.1A(2)0.3 N
(3)
本题解析:(1)金属棒未进入磁场时,
?(2分)
电路中电动势?
?(3分)
通过小灯泡的电流强度
?(2分)
(2)因灯泡亮度不变,故4 s末金属棒进入磁场时刚好匀速运动,此时
金属棒中的电流
?(2分)
由平衡条件,有?F=FA=BId=0.3 N?(2分)
(3)此时电路中电动势
?(3分)
?又E2="Bdv?" ?(1分)
可得棒ab匀速运动的速度?
?(1分)
?
?(4分)
本题难度:一般
2、填空题 如图所示,两根电阻不计的光滑金属导轨ab、cd竖直放置,导轨间距为L,上端接有两个定值电阻R1、R2,已知R1=R2=2r。将质量为m、电阻值为r的金属棒从图示位置由静止释放,下落过程中金属棒保持水平且与导轨接触良好。自由下落一段距离后金属棒进入一个垂直于导轨平面的匀强磁场,磁场宽度为h。金属棒出磁场前R1、R2的功率均已稳定为P。则金属棒离开磁场时的速度大小为______,整个过程中通过电阻R1的电量为______。(已知重力加速度为g)
参考答案:
本题解析:
本题难度:一般
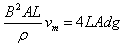
3、计算题 用密度为d、电阻率为ρ、横截面积为A的薄金属条制成边长为L的闭合正方形框aba"b"。如图所示,金属方框水平放在磁极的狭缝间,方框平面与磁场方向平行。设匀强磁场仅存在于相对磁极之间,其它地方的磁场忽略不计。可认为方框的aa"边和bb"边都处在磁极之间,极间磁感应强度大小为B。方框从静止开始释放,其平面在下落过程中保持水平(不计空气阻力)。
(1)求方框下落的最大速度vm(设磁场区域在数值方向足够长);
(2)当方框下落的加速度为
时,求方框的发热功率;
(3)已知方框下落时间为t时,下落高度为h,其速度为
。若在同一时间t内,方框内产生的热与一恒定电流I0在该框内产生的热相同,求恒定电流I0的表达式。
? 
参考答案:解:(1)方框质量
方框电阻
方框下落速度为v时,产生的感应电动势
,感应电流
方框下落过程,受到重力G及安培力F,
,方向竖直向下
当
时,方框达到最大速度,即
则
方框下落的最大速度
(2)方框下落加速度为
时,有
则
方框的发热功率
(3)根据能量守恒定律,有
解得恒定电流I0的表达式
本题解析:
本题难度:困难
4、简答题 如图所示,光滑的金属框架abc固定在水平面内,顶角θ=53°,金属框架处在磁感应强度为B的匀强磁场中,磁场方向垂直水平面,t=0时,金属棒MN受向右的水平拉力F作用,从b点开始沿bc方向以速度v做匀速运动,在运动过程中MN始终垂直于bc,且与框架接触良好,框架bc边和金属棒MN单位长度的电阻均为r,框架ab边的电阻忽略不计(sin53°=0.8)
(1)求t时刻回路中的电流I;
(2)写出拉力F与杆的位移x的关系式,并类比v-t图象求位移的方法,写出拉力F做的功W与杆的位移x的关系式;
(3)求时间t内回路中产生的焦耳热Q.
参考答案:(1)金属棒的位移x=vt,
切割磁感线的有效长度:L=xtan53°=43x,
感应电动势:E=BLv=43Bvx,
回路总电阻:R=(x+43x)r=73xr,
回路电流:I=ER,
解得:I=4Bv7r;
(2)导体棒受到的安培力:FB=BIL=16B2v21rx,
由平衡条件可得,外力F=FB=BIL=16B2v21rx,
外力的功:W=12Fx=8B2v21rx2;
(3)克服安培力做功转化为焦耳热,
由能量守恒定律得:Q=W=8B2v21rx2=8B2v321rt2;
答:(1)t时刻回路中的电流I=4Bv7r;
(2)拉力F与杆的位移x的关系式为:F=16B2v21rx,拉力F做的功W与杆的位移x的关系式为W=8B2v21rx2;
(3)时间t内回路中产生的焦耳热Q=8B2v321rt2.
本题解析:
本题难度:一般
5、选择题 下面说法正确的是( )
A.线圈中的磁通量变化越大,线圈中产生的感应电动势就越大
B.线圈中的磁通量变化越快,线圈中产生的感应电动势就越大
C.线圈中的磁通量越大,线圈中产生的感应电动势就越大
D.线圈放在磁场越强的地方,线圈中产生的感应电动势就越大
参考答案:A、线圈中的磁通量变化大,磁通量的变化率不一定大,故A错误;
B、根据法拉第电磁感应定律可知线圈中感应电动势的大小与磁通量的变化率即磁通量变化快慢成正比,故B正确;
C、线圈中的磁通量大,其磁通量变化率不一定大,故C错误;
D、磁场强,线圈中的磁通量变化快慢不确定,故D错误;
故选B.
本题解析:
本题难度:一般