时间:2019-06-29 05:48:35
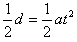
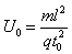
1、计算题 如图甲所示,建立Oxy坐标系,两平行极板P、Q垂直于y轴且关于x轴对称,极板长度和板间距均为l,第一四象限有磁场,方向垂直于Oxy平面向里。位于极板左侧的粒子源沿x轴间右连接发射质量为m、电量为+q、速度相同、重力不计的带电粒子在0~3t时间内两板间加上如图乙所示的电压(不考虑极边缘的影响)。已知t=0时刻进入两板间的带电粒子恰好在t0时,刻经极板边缘射入磁场。上述m、q、l、l0、B为已知量。(不考虑粒子间相互影响及返回板间的情况)
(1)求电压U的大小。
(2)求
时进入两板间的带电粒子在磁场中做圆周运动的半径。
(3)何时把两板间的带电粒子在磁场中的运动时间最短?求此最短时间。 
参考答案:解:(1)t=0时刻进入两极板的带电粒子在电场中做匀变速曲线运动,t0时刻刚好从极板边缘射出,在y轴负方向偏移的距离为
,则有
①
②
③
联立以上三式,解得两极板间偏转电压为
④
(2)
时刻进入两极板的带电粒子,前
时间在电场中偏转,后
时间两极板没有电场,带电粒子做匀速直线运动
带电粒子沿x轴方向的分速度大小为
⑤
带电粒子离开电场时沿y轴负方向的分速度大小为
⑥
带电粒子离开电场时的速度大小为
⑦
设带电粒子离开电场进入磁场做匀速圆周运动的半径为R,则有
⑧
联立③⑤⑥⑦⑧式解得
⑨
(3)2t0时刻进入两极板的带电粒子在磁场中运动时间最短
带电粒子离开磁场时沿y轴正方向的分速度为
⑩
设带电粒子离开电场时速度方向与y轴正方向的夹角为α,则
联立③⑤⑩式解得
带电粒子在磁场运动的轨迹图如图所示
圆弧所对的圆心角为
所求最短时间为
带电粒子在磁场中运动的周期为
联立以上两式解得
本题解析:
本题难度:困难
2、选择题 如图所示,质量为m,带电量为q的粒子,以初速度v0,从A点竖直向上射入真空中的沿水平方向的匀强电场中,粒子通过电场中B点时,速率vB=2v0,方向与电场的方向一致,则A、B两点的电势差为:( )
A.
B.
C.
D.
参考答案:C
本题解析:粒子,从A到B,根据动能定理得
,因为vB=2v0,粒子在竖直方向,只受到重力,所以机械能守恒,则有
,由以上三式,则有
.
考点:本题考查带电粒子在复合场中的运动涉及电势差、动能定理的应用.
本题难度:一般
3、选择题 关于点电荷,下列说法正确的是( )
A.只有体积很小的电荷,才能作为点电荷
B.体积很大的电荷,一定不能作为点电荷
C.点电荷一定是带电量很小的电荷
D.当两个带电体的大小远小于它们之间的距离时,可将这两个带电体看成是点电荷
参考答案:D
本题解析:
本题难度:简单
4、选择题 一带电粒子从电场中的A点运动到B点,径迹如图中虚线所示,不计粒子所受重力,则判断错误的是 :
A.粒子带负电
B.A点的场强大于B点场强
C.粒子的电势能逐渐减小
D.粒子的动能不断减小
参考答案:C
本题解析:由图所示,粒子从A到B,根据曲线运动条件可得,电场力逆着电场线方向,所以粒子带负电.故A正确;
从A到B,电场线越来越疏,所以电场强度减小,故A点的电场强度大于B点的,B正确,
由图所示,粒子从A到B,根据曲线运动条件可得,电场力逆着电场线方向,与速度方向夹角大于90°,所以阻碍粒子运动,因此速度不断减小,电场力做负功,电势能增大,所以C错误,D正确,
让选错误的,故选C
点评:场线虽然不存在,但可形象来描述电场的分布.对于本题关键是根据运动轨迹来判定电场力方向,由曲线运动条件可知合力偏向曲线内侧.
本题难度:一般
5、计算题 两平行金属板A、B水平放置,一个质量为m=5×10-6 kg的带电粒子,以v0=2 m/s的水平速度从两板正中位置射入电场,如图所示,A、B两板间距离为d=4 cm,板长L=10 cm。(g=10 m/s2)
(1)当A、B间的电压为UAB=1000V时,粒子恰好不偏转,沿图中虚线射出电场,求该粒子的电荷量和电性。
(2)令B板接地,欲使该粒子射出偏转电场,求A板所加电势的范围。
参考答案:解:(1)当UAB=1 000 V时,重力跟电场力相等,粒子才沿初速度v0方向做匀速直线运动,故
×10-9 C
重力方向竖直向下,电场力方向竖直向上,而场强方向竖直向下(UAB>0),所以粒子带负电
(2)当qE>mg时,带电粒子向上偏,从右上边缘M点飞出,设此时φA=φ1,因为φB=0,所以UAB=φ1,电场力和重力都沿竖直方向,粒子在水平方向做匀速直线运动,速度vx=v0;在竖直方向a=
,偏移量
,所以
,代入a和
,解得φ1
当qE<mg时,带电粒子向下偏转,设φA=φ2,则竖直方向,同理可得φ2=600 V
故欲使粒子射出偏转电场,A板电势的范围为600 V≤φA≤2 600 V
本题解析:
本题难度:困难