时间:2019-06-29 05:43:07
1、填空题 如图所示,矩形线圈abcd的一半放在B=0.1T的匀强磁场中,ab边长10 cm,bc边长20 cm,若线圈绕ab边以角速度ω=100π?rad/s匀速旋转,由图示位置转过90°的时刻,线圈中瞬时感应电动势大小为?,线圈转过90°过程中平均感应电动势大小为? 。
参考答案:0.628,0.2
本题解析:
本题难度:一般
2、选择题 如图所示,两平行光滑导轨竖直固定。边界水平的匀强磁场宽度为h,方向垂直于导轨平面。两相同的导体棒a、b中点用长为h的绝缘轻杆相接,形成“工”字型框架,框架置于磁场上方,b棒距磁场上边界的高度为h,两棒与导轨接触良好。保持a、b棒水平,由静止释放框架,b棒刚进入磁场即做匀速运动,不计导轨电阻。则在框架下落过程中,a棒所受轻杆的作用力F及a棒的机械能E随下落的高度h变化的关系图象,可能正确的是

参考答案:BCD
本题解析:框架在进入磁场前做自由落体运动,轻杆对a作用力为零,b进入磁场后,框做匀速运动,a处于平衡状态,杆对a的作用力F=mg,方向向上,当框架下落2h,a棒进入磁场后,a受到轻杆的作用力大小等于重力,方向向下,故A错误,B正确;
C、框架进入磁场前做自由落体运动,机械能守恒,机械能不变,线框进入磁场后做匀速直线运动,动能不变,重力势能减小,机械能减少,框架完全离开磁场后,只受重力作用,机械能守恒,由于零重力势能点不确定,故CD都正确;故选:BCD.
考点:机械能守恒定律;电磁感应现象及楞次定律.
本题难度:困难
3、简答题 如图所示,一个100匝的圆形线圈(图中只画了2匝),面积为200cm2,线圈的电阻为1Ω,在线圈外接一个阻值为4Ω的电阻和一个理想电压表.线圈放入方向垂直线圈平面指向纸内的匀强磁场中,磁感强度随时间变化规律如B-t图所示,求:
(1)t=3s时穿过线圈的磁通量.
(2)t=5s时,电压表的读数.
参考答案:(1)由图知t=3s时,B=3.5×10-1T内,则穿过线圈的磁通量为:
Φ=BS=3.5×10-1×200×10-4Wb=7×10-3Wb
(2)根据法拉第电磁感应定律得4~6s内的感应电动势为:E1=n△B△tS=100×(4-0)×10-16-4×200×10-4V=0.4V
则电压表的读数为:U=E1R+rR=0.44+1×4V=0.32V
答:(1)t=3s时穿过线圈的磁通量为7×10-3Wb.
(2)t=5s时,电压表的读数为0.32V.
本题解析:
本题难度:一般
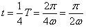
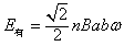
4、计算题 如图所示,一个小型旋转电枢式交流发电机,其矩形线圈的长度为a,宽度为b,共有n匝,总电阻为r0,与线圈两端相接触的集流环上接有一个阻值为R的定值电阻。线圈以角速度ω在磁感应强度为B的匀强磁场中绕与磁场方向垂直的对称轴OO"匀速转动,沿转动轴OO"方向看去,线圈转动方向沿顺时针。
(1)在图中画出线圈经过图示位置时通过电阻R上的感应电流的方向。
(2)从图示位置(线圈平面平行于磁场方向)开始计时,经多长时间,通过电阻R上电流的瞬时值第一次为零?
(3)与电阻并联的交流电压表的示数是多少? 
参考答案:解:(1)右手定则判断,R上电流自上而下
(2)
(3)Em=nBabω
所以
?
本题解析:
本题难度:一般
5、选择题 一个面积S=4×10-2 m2、匝数n=100匝的线圈,放在匀强磁场中,磁场方向垂直于线圈平面,磁感应强度B随时间t变化的规律如图所示,则下列判断正确的是
[? ]
A、在开始的2 s内穿过线圈的磁通量变化率等于-0.08 Wb/s
B、在开始的2 s内穿过线圈的磁通量的变化量等于零
C、在开始的2 s内线圈中产生的感应电动势等于-0.08 V
D、在第3 s末线圈中的感应电动势等于零
参考答案:A
本题解析:
本题难度:一般