时间:2019-06-29 05:41:46
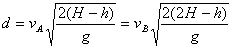
1、计算题 从高为H的A点平抛一物体,其水平射程为2s。在A点正上方高为2H的B点向相同方向抛出另一物体,其水平射程为s,两物体的轨迹在同一竖直面内,且都从同一个屏的顶端M擦过,求屏的高度。
参考答案:解:两物体的抛出高度和水平射程都已知,也就确定了两球的初速度关系:

得
两物体都经过屏顶M,即以不同的初速度通过相同的水平射程,说明下落到M点的时间不同,时间由高度决定,解出落到M点的高度就可求出屏高。设屏高为h,离抛射点的水平距离为d,则 
解得
本题解析:
本题难度:一般
2、选择题 投飞镖于十五世纪兴起于英格兰,现在已成为深受人们喜爱的一种娱乐活动.在一次投飞镖比赛中,某飞镖运动员在离靶盘一定距离的位置,将两个飞镖分别由同一点正对竖直悬挂的靶盘水平掷出,不计空气阻力,两只飞镖插在靶上的位置如图所示.则下列说法中正确的是( )
A.A镖掷出时的初速度比B镖掷出时的初速度大
B.B镖插入靶时的末速度比A镖插入靶时的末速度大
C.B镖的运动时间比A镖的运动时间长
D.A镖的质量一定比B镖的质量大
参考答案:A、由于两个飞镖从同一个点抛出,水平位移相同,但是B在A的下面,说明B在竖直方向上的位移比A的大,由h=12gt2 可知,B的运动的时间要比A的长,所以A初速度要比B的大,所以A正确.
B、由A的分析可知A镖的初速度大,由于运动的时间很短,AB在竖直方向上的速度的差别很小,所以A的末速度要比B的末速度大,所以B错误.
C、由A的分析可知,C正确.
D、平抛运动的规律与物体的质量无关,所以不能判断AB质量的关系,故D错误.
故选AC.
本题解析:
本题难度:简单
3、选择题 如图所示,三个小球从同一高处的O点分别以水平初速度v1、v2、v3抛出,落在水平面上的位置分别是A、B、C,O"是O在水平面上的投影点,且O"A:AB:BC=1:3:5.若不计空气阻力,则下列说法正确的是( )
A.三个小球水平初速度v1:v2:v3=1:4:9
B.三个小球落地的速度大小之比为1:3:5.
C.三个小球通过的位移大小之比为1:
| 3 |
| 5 |

参考答案:A、三个小球的高度相等,则根据h=12gt2知,平抛运动的时间相等,水平位移之比为1:4:9,则根据x=v0t得,初速度之比为1:4:9.故A正确.
B、小球落地时的竖直方向上的分速度相等,落地时的速度v=
本题解析:
本题难度:一般
4、简答题 在一次摩托车跨越壕沟的表演中,摩托车从壕沟的一侧以速度v=40m/s沿水平方向飞向另一侧,如图所示壕沟宽度为20m,两侧的高度分别为2.0m和3.5m,不计空气阻力.(g=10m/s2)
(1)摩托车否能越过壕沟?请计算说明.
(2)如果摩托车能越过壕沟,它落地的速度是多大?
参考答案:(1)由于摩托车做平抛运动,根据平抛运动的规律:
在竖直方向:y=12gt2
可知摩托车下落1.5m所用时间为:
t=
本题解析:
本题难度:一般
5、计算题 物体做平抛运动,在它落地前的1 s内它的速度与水平方向夹角由30°变成60°,g=10 m/s2。求:
(1) 平抛运动的初速度大小;
(2) 平抛时的高度.
参考答案:(1)
(2) h=11.25m
本题解析:(1)先对30°和60°时物体的速度进行分解,由速度夹角关系
对A:
;(3分)?
对B:
;(3分)
由上式解得:t=1.5s?
(1分)
(2) 下落的高度
;(2分)?
代入数据得:h=11.25m;(1分)
本题难度:一般