时间:2019-06-29 05:32:33
1、选择题 下列关于速度、速度变化量和加速度的关系中,可能存在的是
A.速度变化量很大,加速度却很小
B.速度变化量方向为正,加速度方向为负
C.速度越来越快,加速度越来越小
D.速度方向为正,加速度方向为负
参考答案:ACD
本题解析:分析:根据加速度的定义式a=
可知物体的加速度等于物体的速度的变化率,加速度的方向就是物体速度变化量的方向,与物体速度无关,即物体的速度变化越快物体的加速度越大.
解答:A、速度变化量很大,如果时间也很长,加速度可以很小,故A正确
B、速度变化量方向与加速度方向相同,故B错误
C、加速度方向与速度方向相同,速度越来越快,加速度可以越来越小,故C正确
D、速度方向为正,加速度方向为负,故D正确
故选ACD.
点评:本题考查加速度的定义式,只要理解了加速度的概念就能顺利解决.
本题难度:简单
2、计算题 一个静止在水平地面上的物体,质量是2kg,在8N的水平拉力作用下沿水平地面向右运动。物体与地面间的摩擦力是2N。求物体在3s末的速度和3s内发生的位移。
参考答案:13.5m
本题解析:
? ······1分;
? ······1分;
? ······1分;
? ······1分;
? ······1分;
? ······1分;
本题难度:简单
3、选择题 如图所示,物块m 与车厢后壁间的动摩擦因数为μ,当该车水平向右加速运动时,m 恰好沿车厢后壁匀速下滑,则车的加速度为
[? ]
A.g?
B.μg?
C.
?
D.
μg
参考答案:C
本题解析:
本题难度:一般
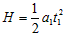
4、计算题 航模兴趣小组设计出一架遥控飞行器,其质量m=2kg,动力系统提供的恒定升力F =28N。试飞时,飞行器从地面由静止开始竖直上升。设飞行器飞行时所受的阻力大小不变。
(1)第一次试飞中,飞行器飞行t1=8s时到达的高度H=64m,求飞行器所受阻力f的大小;
(2)第二次试飞中,飞行器飞行t2=6s时遥控器出现故障,飞行器立即失去升力,求飞行器能达到的最大高度h;
(3)为了使飞行器不致坠落到地面,求飞行器从开始下落到恢复升力的最长时间t。
参考答案:解:(1)第一次飞行中,设加速度为a1
匀加速运动:
由牛顿第二定律:
解得:
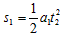
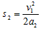
(2)第二次飞行中,设失去升力时的速度为v1,上升的高度为s1
匀加速运动:
设失去升力后的速度为a2,上升的高度为s2
由牛顿第二定律:
?
,
解得:
(3)设失去升力下降阶段加速度为a3;恢复升力后加速度为a4,恢复升力时速度为v3
由牛顿第二定律
?
F+f-mg=ma4
且
?
V3=a3t3
解得t3=
s(或2.1s)。
本题解析:
本题难度:困难
5、选择题 以下说法正确的有:
A.加速度不为零的运动,物体的运动速度方向一定发生变化
B.加速度不为零的运动,物体的运动速度大小一定发生变化
C.加速度不为零的运动,速度的大小和方向至少有一个要发生变化
D.物体运动的加速度不为零,但速度却有可能为零
参考答案:CD
本题解析:匀变速直线运动,速度方向不变,A选项错;匀变速圆周运动,加速度不为零,物体运动的速度大小不变,B选项错;加速度不为零,物体的运动状态一定发生变化,或者速度的大小变化,或者速度的方向变化,或者速度的方向和大小都发生变化,C选项对;自由落体运动,开始下落的瞬间,速度为零,加速度不为零,D选项对。
本题难度:一般