时间:2019-06-29 05:32:13
1、选择题  如图所示表示一交变电流随时间变化的图象,此交变电流的有效值为
[? ]
A.3A ? 
B. A?
A?
C. A?
A?
D. A
A
参考答案:A
本题解析:
本题难度:一般
2、选择题  有一个电子器件,当其两端电压高于100 V时导电,等于或低于100 V时则不导电,若把这个电子器件接到100 V、50 Hz的正弦交流电源上,这个电子器件将(? )
A.不导电
B.每秒钟导电50次
C.每秒钟内导电100次
D.每次导电的时间为0.005 s
参考答案:CD
本题解析:由e=Emsinωt可知100=100 sin100πt
sin100πt
所以sin100πt= ?ω=2πf=100π
?ω=2πf=100π
100πt= ,所以t=
,所以t= s=0.25×10-2 s
 s=0.25×10-2 s
所以每次导电时间间隔为0.005 s.画出其et图如图,由图可知:每个周期导电2次,每秒导电100次,综上可知:C、D选项正确.
本题难度:一般
3、选择题  有效值是根据电流的         来规定的。如图所示为一交变电压随时间变化的图象。每个周期内,前三分之二周期电压按正弦规律变化,后三分之一周期电压恒定。根据图中数据可得,此交流电压的有效值为                   
参考答案:热效应  2 伏
伏
本题解析:交变电流的有效值是描述交流电的一个重要物理量,有效值是根据电流的热效应来规定的,即在通过相同的电阻,在相同的时间内产生的热量相同,根据定义可得:。 (
  ( )代入上式得:
)代入上式得:
考点:本题考查交流电有效值的计算问题;
点评:正弦式交流电时,当时间轴上方与下方的图象不一样时,也是分段:前半周期时间的正弦式有效值等于最大值除以根号2,后半周期时间内的正弦式有效值等于最大值除以根号2.然后再求出一个周期内的有效值.
本题难度:一般
4、填空题  一个标有“220V,110W”的电热器,它在正常工作时,通过的正弦式电流的有效值是?A;它两端所加的电压的峰值是?V.
参考答案:0.5?、? 311
本题解析:电压有效值为220V,由P=UI,电流有效值为0.5A,由
本题难度:简单
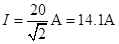
5、选择题  一个按正弦规律变化的交流电的图象如右图所示,由图象可知
①该交变电流的频率为0.2 Hz
②该交变电流的有效值为14.1 A
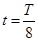
③该交变电流的瞬时值表达式为i=20sin 0.02t (A)
④t= 时刻,该交变电流的大小与其有效值相等
时刻,该交变电流的大小与其有效值相等
A.①②  B.②④             C.③④ D.①③
参考答案:B
本题解析:由图可知,交变电流的周期为0.02s,频率为50Hz,则①错误;该交变电流的有效值为 ,②正确;该交变电流的瞬时值表达式为i=20sin 100πt (A),③错误;
,②正确;该交变电流的瞬时值表达式为i=20sin 100πt (A),③错误; 时刻,该交变电流的大小为i=20sin 100πt (A)=" 20sin"
时刻,该交变电流的大小为i=20sin 100πt (A)=" 20sin"  (A)=14.1A,即与其有效值相等,④正确,选项B正确.
(A)=14.1A,即与其有效值相等,④正确,选项B正确.
考点:交流电的产生;最大值和有效值。
本题难度:一般