时间:2019-06-29 05:31:52
1、计算题 “10米折返跑”的成绩反应了人体的灵敏素质。测定时,在平直跑道上,受试者以站立式起跑姿势站在起点终点线前,当听到“跑”的口令后,全力跑向正前方10米处的折返线,测试员同时开始计时。受试者到达折返线处时,用手触摸折返线处的物体(如木箱),再转身跑向起点终点线,当胸部到达起点终点线的垂直面时,测试员停表,所用时间即为“10米折返跑”的成绩。设受试者起跑的加速度为4m/s2,运动过程中的最大速度为4m/s,快到达折返线处时需减速到零,减速的加速度为8m/s2,返回时达到最大速度后不需减速,保持最大速度冲线。求该受试者“10米折返跑”的成绩为多少秒?

2、填空题 汽车刹车后做匀减速直线运动,经3.5 s后停止运动,那么,从开始刹车起连续的3个1s内汽车通过的位移之比为______________。
3、选择题 不定项选择
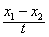
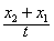
一物体做匀加速直线运动,在第1个ts内位移为x1,第2个ts内位移为x2,则物体在第1个ts末的速度是( ? )
A.
B.
C.
D.
4、实验题 (17分)(1)(7分)某实验小组拟用甲图所示的装置研究滑块的运动。实验器材有:滑块、钩码、纸带、毫米刻度尺、带滑轮的木板、漏斗和细线组成的单摆(细线质量不计且不可伸长,装满有色液体后,漏斗和液体质量相差不大)等。实验前,在控制液体不漏的情况下,从漏斗某次经过最低点时开始计时,测得之后漏斗第100次经过最低点共用时100秒;实验中,让滑块在钩码作用下拖动纸带做匀加速直线运动,同时单摆垂直于纸带运动方向做微小振幅摆动,漏斗漏出的液体在纸带上留下的痕迹记录了漏斗在不同时刻的位置。

①该单摆的周期是 ?s;
②图乙是实验得到的有液体痕迹并进行了数据测量的纸带,根据纸带可求出滑块的加速度为?m/s2;(结果取两位有效数字)
③用该实验装置测量滑块加速度,对实验结果影响最大的因素是?。
5、计算题 某物体做匀加速直线运动,它在第n个时间间隔和第(n+3)个时间间隔内的位移分别是24m和144m, 已知每一时间间隔△t =4 s.求物体的加速度.