时间:2019-06-29 05:14:31
1、计算题 如图所示,一个质量为
、电荷量为
的正离子,在
处沿图示方向以一定的速度射入磁感应强度为
的匀强磁场中,此磁场方向是垂直纸面向里。结果离子正好从距
点为
的小孔
沿垂直于电场方向进入匀强电场,此电场方向与
平行且向上,最后离子打在
处,而
处距
点
。不计离子重力,离子运动轨迹在纸面内。求:
(1)正离子从
处运动到
处所需时间为多少?
(2)正离子到达
处时的动能为多少? 
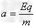
参考答案:解:(1)正离子轨迹如图所示
在磁场中圆周运动的时间为:
圆周运动半径
满足:
解得:
设离子在磁场中运动速度为
,则有:
解得:
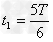
离子从
到
过程的时间为:
离子从D→C→G的总时间为:
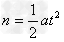
(2)设电场强度为
,离子在电场中运动过程有:
且
由动能定理得:
解得:
本题解析:
本题难度:困难
2、计算题 (14分)如图所示,图中左边有一对平行金属板,两板相距为d,电压为U。两板之间有匀强磁场,磁感应强度大小为B0,方向与金属板面平行并垂直于纸面朝里;图中右边有一半径为R、圆心为O的圆形区域,区域内也存在匀强磁场,磁感应强度大小为B,方向垂直于纸面朝里。一电荷量为q的正离子沿平行于金属板面、垂直于磁场的方向射入平行金属板之间,沿同一方向射出平行金属板之间的区域,并沿直径PQ方向射入磁场区域,最后从圆形区域边界上的G点射出,已知弧QG所对应的圆心角为
。离子重力不计。求:
(1)离子速度的大小;
(2)离子在圆形磁场区域内做圆周运动的半径;
(3)离子的质量。
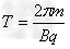
参考答案:(1)
(2)
(3)
本题解析:(1)粒子匀速运动
?(3分)?
?(2分) 联立解得:
?(1分)
(2)由几何关系可知
?(3分)?则离子运动半径
?(1分)
(3)由
?(3分)?得
?(1分)
本题难度:一般
3、选择题 .如图所示为一速度选择器,两极板P、Q之间距离为d,且P接电源负极,Q接正极;板内有一磁感应强度为B,方向垂直纸面向外的匀强磁场,一束粒子流以速度v流经磁场时恰好不偏转(不计重力),则两极板必须加上一定电压U;则下列说法中正确的是(?)
A.U=Bvd,粒子一定带正电
B.U=Bv,粒子一定带负电
C.U=Bvd,粒子一定从a运动到b
D.U=Bvd,粒子可能从b运动到a
参考答案:C
本题解析:不偏转,即洛伦兹力等于电场力,
,
,若粒子带正电,电场力向上,从a运动到b,洛伦兹力向下,成立,同理对负电荷也成立,若从b运动到a,两力方向相同,将发生偏转,C对。
本题难度:一般
4、计算题 一带正电的粒子带电量为q,质量为m。从静止开始经一电压U1=100V的匀强电场加速后,垂直进入一电压U2=40V的平行板电场,平行板长L=0.2m,间距d=1cm。在平行板区域同时存在一垂直纸面向里的匀强磁场,磁感应强度B1=1T。粒子穿过平行板后进入另一垂直向里的有界匀强磁场区域,磁感应强度为B2,宽度D=0.1m。最后从此磁场的右边界以
60°穿出(如图所示)。已知粒子的比荷为
,忽略粒子重力及阻力的影响。
(1)求粒子进入平行板电场时的速度大小;
(2)求有界匀强磁场的磁感应强度B2的大小;
(3)求粒子从进入磁场到穿出磁场所用时间。(保留一位有效数字)
参考答案:(1)粒子经过加速电场,由动能定理有
?(2分)
解得粒子进入平行板电场时的速度
?(2分)
(2)粒子在平行板中受到的洛仑兹力
?(2分)
所受的电场力
?(2分)
由于F=f,粒子沿v0方向匀速直线穿过平行板,进入有界磁场B2?(1分)
由几何关系可得,粒子圆周运动的半径
?(1分)
又因为
?(1分)
得 磁感应强度
?(1分)
(3)粒子在平行板区域所用时间
?(1分)
粒子在有界磁场区域所用时间
?(2分)
所以粒子在穿越两个磁场所用的总时间
?(1分)
本题解析:略
本题难度:简单
5、选择题 如图所示,水平向右的匀强电场场强为E,垂直纸面向里的水平匀强磁场磁感应强度为B,一带电量为q的液滴质量为m,在重力、电场力和洛伦兹力作用下做直线运动,下列关于带电液滴的性质和运动的说法中正确的是( )
A.液滴可能带负电
B.液滴一定做匀速直线运动
C.不论液滴带正电或负电,运动轨迹为同一条直线
D.液滴不可能在垂直电场的方向上运动
参考答案:在重力、电场力和洛伦兹力作用下做直线运动,说明洛伦兹力要被抵消!(若不抵消就不能直线运动).
A.重力和电场力是恒力,所以洛伦兹力和重力、电场力的合力为零时,液滴才能做直线运动,无论液滴带正电还是负电,液滴沿重力、电场力合力垂直向上的方向运动即可,所以A符合题意;
B.重力和电场力是恒力,所以洛伦兹力不发生改变,所以液滴一定做匀速直线运动,所以B符合题意;
C.由A得分析可知,液滴带正电或负电时,运动轨迹恰好垂直,不是同一直线,所以C不符合题意;
D.若液滴在垂直电场的方向上运动,则洛伦兹力与电场力在同一直线上,重力不可能被平衡,故液滴不可能在垂直电场的方向上运动,所以D符合题意.
故选ABD.
本题解析:
本题难度:简单