时间:2019-06-29 05:05:58
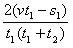
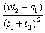
1、选择题 某一物体作匀变速直线运动,测得它在s1位移中所需的时间是t1,紧接着t2时间中的平均速度是v ,那么该物体的加速度是
[? ]
A.
B.
C.
D.
参考答案:A
本题解析:
本题难度:一般
2、选择题 一轻杆一端固定一质量为m的小球,以另一端O为圆心,使小球在竖直平面内做半径为R的圆周运动,以下说法不正确的是
[? ]
A.小球过最高点时,杆所受的弹力有可能为零
B.小球过最高点时最小速度为
C.小球过最高点时,杆对球的作用力可能与小球所受重力方向相同
D.小球过最高点时,杆对球的作用力可能与小球所受重力方向相反
参考答案:B
本题解析:
本题难度:一般
3、选择题 某物体做变速直线运动,其加速度方向不变,大小逐渐减小到零,该物体的运动情况可能是
[? ]
A.速度不断增大,最后达到最大,并以此速度做匀速直线运动
B.速度不断减小,最后达到最小,并以此速度做匀速直线运动
C.速度不断减小,又不断增大,最后做匀速直线运动
D.速度不断增大,又不断减小,最后做匀速直线运动
参考答案:ABC
本题解析:
本题难度:一般
4、计算题 轻杆长为2l,水平转轴装在中点O处,两端分别固定着小球A和B。A的质量为m,B球的质量为2m,在竖直平面内做匀速圆周运动。当杆绕O以某一速度转动时,A球在最高点,如图所示,此时OA恰好不受力,求:
(1)此时两小球的线速度大小,及OB杆受力大小;
(2)当B球转到最高点时,杆对O轴的作用力的大小和方向?

参考答案:(1)
,4mg
(2)2mg,向上
本题解析:
本题难度:一般
5、实验题 在《探究小车速度随时间变化的规律》实验中,用打点计时器打出的一条纸带。A、B、C、D、E为我们在纸带上所选的计数点。相邻计数点间的时间间隔为0.1s,各点间的距离如图所示,则在打D点时,小车的速度为_____________m/s,并可求得小车的加速度大小为_____________m/s2。 
参考答案:0.34,0.40
本题解析:
本题难度:一般