时间:2019-06-29 04:52:56
1、选择题 如图5所示,某一真空室内充满竖直向下的匀强电场E,在竖直平面内建立坐标系xOy,在y<0的空间里有与场强E垂直的匀强磁场B,在y>0的空间内,将一质量为m的带电液滴(可视为质点)自由释放,此液滴则沿y轴的负方向,以加速度a=2g(g为重力加速度)做匀加速直线运动,当液滴运动到坐标原点时,被安置在原点的一个装置瞬间改变了带电性质(液滴所带电荷量和质量均不变),随后液滴进入y<0的空间运动.液滴在y<0的空间内的运动过程中( )
A.重力势能一定不断减小
B.电势能一定先减小后增大
C.动能不断增大
D.动能保持不变
参考答案:D
本题解析:带电液滴在y>0的空间内以加速度a=2g做匀加速直线运动,可知液滴带正电,且电场力等于重力,当液滴运动到坐标原点时变为负电荷,液滴进入y <0的空间内运动,电场力等于重力,液滴做匀速圆周运动,重力势能先减小后增大,电场力先做负功后做正功,电势能先增大后减小,动能保持不变,故选D.
本题难度:简单
2、简答题
(1)电场强度至少为多少?
(2)在(1)问的情况下,要使小球继续运动,第二次通过最高点a时,小球对绝缘管恰好无压力,匀强磁场的磁感应强度多大?(重力加速度为g)
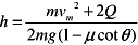
参考答案:(1)
?(2)
本题解析:(1)小球恰能通过a点,小球第一次到达a点的速度为0,
由动能定理有:qER-mgR="0?" ……①?(4分)
故
?……②?(2分)
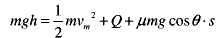
(2)设第二次到达a点的速度为vn,由动能定理有:
…③(3分)
到达最高点时小球对轨道恰好无压力,由牛顿第二定律有:
?……④?(3分)
联立②③④得
?(4分)
本题难度:一般
3、计算题 如图所示,虚线 1l、l2将无重力场的空间分成三个区域, I 区内存在水平向右的匀强电场 E1和垂直纸面向里的匀强磁场 Bl , Ⅱ区内以水平线 CO 为分界,上方存在着竖直向上的匀强电场E2,下方存在着竖直向下的匀强电场E3 Ⅲ 区内存在以l2为左边界、右边无界的垂直纸面向里的匀强磁场B2,在 I 区内有一段粗糙、长为 L 的水平放置塑料直管道 AC ,一可视为质点的带正电小球(直径比管内径略小)的质量为 m 、带电量为 q ,现将小球从管道内 A 处由静止释放,运动至管道内离 A 点距离为 L0的 B 点处时达到稳定速度 v0,后进入 Ⅱ 区向下偏转,从边界l2上的 D 点进入Ⅲ 区,此时速度方向与水平方向的夹角为β,最后小球恰能无碰撞的从 C处进入管道.
已知q/m=" 0" . 01C/kg, E1=" l00N" / C ,E2=E3=300N / C ,β= 600 , Bl = 103T ,L ="5m" L 0= 4m小球与管道间动摩擦因素为μ=0.1’求:
(1) 小球在管道内运动的稳定速度v0值;
(2)? Ⅲ区内匀强磁场 B2的值;
(3)?从 A 处开始至从C 处进入管道的过程中,小球的运动时间t
参考答案:(1)1m/s(2)200T(3)9.77s
本题解析:(1)小球在从在管道中速度达到稳定时,受力平衡:
?(1分)
解得:
?(1分)
(2)小于在从C到D的过程中,做类平抛运动,设加速度为a,在D点时竖直方向分速度为
,OD间距离为d
?(1分)
?(1分)
?(1分)
根据题意,为保证小球恰能无碰撞的从C处进入官大,小球在三区内做匀速圆周运动的圆弧是关于CO对称的,圆心
必在CO的延长线上。
由几何关系可得:
?(1分)
?(1分)
解得:
?(1分)
(3)小球从A点到B的过程做变加速直线运动,设小球从A运动到B点所需要的时间为
,由牛顿第二定律得
?(1分)
?(1分)
?(1分)
小球从B匀速运动到C所需要的时间为
?(1分)
小球在二区内运动的总时间
?(1分)
小球在三区内运动的总时间
?(1分)
小球从A处到C静茹管道的过程中,运动时间
?(1分)
点评:(1)对于带电粒子在复合场内运动问题首先要分清楚其运动特点和受力特点.
(2)要注意分析题目中的一些隐含条件,比如不计重力的带电粒子在正交的电场和磁场中直线运动时,一定是匀速直线运动;在混合场中做匀速圆周运动时,电场力与重力平衡.
(3)对于带电粒子在叠加场内的一般曲线运动问题(如类平抛),通常采用运动的合成与分解的方法来处理问题.还有就是要注意几何关系在解决物理问题中的应用.
本题难度:简单
4、选择题 如图所示,光滑绝缘杆固定在水平位置上,使其两端分别带上等量同种正电荷
,杆上套着一带正电小球,整个装置处在一个匀强磁场中,磁感应强度方向垂直纸面向里,将靠近右端的小球从静止开始释放,在小球从右到左的运动过程中,下列说法正确的是()
A.小球受到的洛伦兹力大小变化,但方向不变
B.小球受到的洛伦兹力将不断增大
C.小球的加速度先减小后增大
D.小球的电势能一直减小
参考答案:AC
本题解析:小球从右到左的运动过程中,小球先做加速度减小的加速运动,后做加速度增大的减速运动。小球受到的洛伦兹力大小先减小,后增大,但方向始终竖直向上。小球所受电场力先做正功,后做负功,小球的电势能先减小,后增大。
本题难度:一般
5、填空题 一个带电微粒在图示的正交匀强电场和匀强磁场中在竖直面内做匀速圆周运动。则该带电微粒必然带___________,旋转方向为___________。若已知圆半径为r,电场强度为E磁感应强度为B,则线速度为___________。 
参考答案:负电,逆时针转动,
本题解析:
本题难度:一般