时间:2019-06-28 06:11:36
1、计算题 一辆质量为5 t的汽车在高速公路上以108 km/h的速度行驶,若要求汽车遇到紧急情况刹车时滑行距离不得超出36 m,问紧急刹车时对汽车的制动力至少应多大?
参考答案:解:汽车的初速度v0=108 km/h=30 m/s
则紧急刹车时汽车的加速度至少为
则由牛顿第二定律,对汽车的制动力至少应为F=ma=5×103×12.5 N=6.25×104 N
本题解析:
本题难度:一般
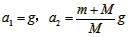
2、选择题 如图,轻弹簧上端与一质量为m的木块1相连,下端与另一质量为M的木块2相连,整个系统置于水平放置的光滑木板上,并处于静止状态。现将木板沿水平方向突然抽出,设抽出后的瞬间,木块1、2的加速度大小分别为a1、a2。重力加速度大小为g。则有
[? ]
A.
B.
C.
D.
参考答案:C
本题解析:
本题难度:一般
3、计算题 如图所示,半径为R的光滑绝缘圆环固定在竖直平面内,在环的底端B点固定一个带正电的小珠,环上还套有一个质量为m,带有与小珠等量正电荷的小球,现将小球从A点(半径OA水平)由静止释放开始运动,当运动到C点(∠AOC=30。)时获得的最大动能为Ekm,求
(1)小球在A点刚释放时运动的加速度?
(2)小球从位置A运动到位置C的过程中所受静电力做的功?
(3)小球在位置C时受到圆环对它的作用力? 
参考答案:(1)
(2)Ekm-1/2mgR
(3)mg+2Ekm/R
本题解析:
本题难度:一般
4、选择题 如图所示,粗糙的竖直墙面上质量为m的物体,在斜向上的推力F作用下保持静止,则关于物体的受力个数可能正确的是
[? ]
A.2个力
B.3个力
C.4个力
D.5个力
参考答案:BC
本题解析:
本题难度:简单
5、选择题 .如图,斜面体C质量为M足够长,始终静止在水平面上,一质量为m的长方形木板A上表面光滑,木板A获得初速度v0后恰好能沿斜面匀速下滑,当木板A匀速下滑时将一质量也为m的滑块B轻轻放在木板A表面上,当滑块B在木板A上滑动时,下列正确的是
?
A.滑块B的动量为0.5mv0时,木板A和滑块B的加速度大小相等
B.滑块B的动量为0.5mv0时,斜面体对水平面的压力大于为(M+2m)g
C.滑块B的动量为1.5mv0时,木板A的动量为0.5mv0
D.滑块B的动量为1.5mv0时,水平面施予斜面体的摩擦力向右
参考答案:A
本题解析:木板A匀速下滑时,
,当把B放在木板A表面上,正压力加倍,则摩擦力加倍,所以A将会以加速度
做匀减速直线运动,B以加速度
做匀加速直线运动,当A的速度减为零时静止,因为加速度大小相等,质量也相等,所以B的速度增大到V0时,A静止
则有滑块B的动量为0.5mv0时,木板A和滑块B的加速度大小相等,A正确
以整体为研究对象,滑块B的动量为0.5mv0时,系统加速度为零,所以斜面体对水平面的压力等于为(M+2m)g,故B错误
滑块B的动量为1.5mv0时,木板A已经静止,所以A的动量为0,故C错误
滑块B的动量为1.5mv0时,系统具有水平向左的分加速度,所以水平面施予斜面体的摩擦力向左,故D错误
故选A
本题难度:一般