时间:2019-06-28 05:01:46
1、选择题 如图所示,是某同学站在力板传感器上,做下蹲-起立的动作时记录的力随时间变化的图线,纵坐标为力(单位为牛顿),横坐标为时间。由图线可知,该同学的体重约为650N,除此以外,还可以得到以下信息(?)
A.该同学做了两次下蹲-起立的动作
B.该同学做了一次下蹲-起立的动作,且下蹲后约2s起立
C.下蹲过程中人处于失重状态
D.下蹲过程中先处于超重状态后处于失重状态
2、简答题 把一个质量2kg的物块放在水平面上,用12N的水平拉力使物块从静止开始运动,物块与水平面的动摩擦因数为0.2,物块运动2秒未撤去拉力,g取10m/s2.求:
(1)2秒末物块的瞬时速度.
(2)此后物块在水平面上还能滑行的最大距离.
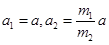
3、选择题 如图所示,在拉力
的作用下,质量为
的木块
和质量为
的木块
通过弹簧相连共同以加速度
在光滑的水平面上做匀加速直线运动,某时刻突然撤去拉力
,此瞬间
和
的加速度大小分别为
和
,则 
A.
B.
C.
D.
4、选择题 如图所示,当车厢向右加速行驶时,一质量为m的物块紧贴在车壁上,相对于车壁静止,随车一起运动,则下列说法正确的是? 
[? ]
A.在竖直方向上,车壁对物块的摩擦力与物块的重力平衡
B.在水平方向上,车壁对物块的弹力与物块对车壁的压力是一对平衡力
C.若车厢的加速度变大,车壁对物块的弹力不变
D.若车厢的加速度变大,车壁对物块的摩擦力也变大
5、选择题 如图所示,一质量为m的滑块,在粗糙水平面上的质量为M的斜劈上下滑,斜面光滑,下滑过程中,M始终静止,则下列说法正确的是
A.水平面受到M的压力大于(M+m)g
B.水平面受到M的压力小于(M+m)g
C.水平面对M有水平向右的摩擦力
D.水平面对M没有摩擦力