时间:2019-06-28 04:30:17
1、计算题 如图1所示,宽度为d的竖直狭长区域内(边界为L1、L2),存在垂直纸面向里的匀强磁场和竖直方向上的周期性变化的电场(如图2所示)。电场强度的大小为E0,E>0表示电场方向竖直向上t=0时,一带正电、质量为m的微粒从左边界上的N,点以水平速度v射入该区域,沿直线运动到Q点后,做一次完整的圆周运动,再沿直线运动到右边界上的N2点。Q为线段N1N2的中点,重力加速度为g。上述d、E0、m、v、g为已知量。
(1)求微粒所带电荷量q和磁感应强度B的大小;
(2)求电场变化的周期T;
(3)改变宽度d,使微粒仍能按上述运动过程通过相应宽度的区域,求T的最小值。 

参考答案:解:(1)微粒做直线运动,则mg +qE0= qvB ①
微粒做圆周运动,则mg=qE0②
联立①②得
③
④
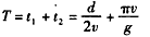
(2)设微粒从N1运动到Q的时间为t1,做圆周运动的周期为t2,则2πR=vt1⑦
联立③④⑤⑥⑦得
⑧
电场变化的周期
⑨
(3)若微粒能完成题述的运动过程,要求d≥2R ⑩
联立③④⑥
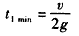
设N1Q段直线运动的最短时间为t1min,
由⑤⑩得

因t2不变,T的最小值
。
本题解析:
本题难度:困难
2、计算题 在如图甲所示的平面直角坐标系xOy中,存在沿x方向按如图乙所示规律周期性变化的匀强电场,沿x轴正方向为正。沿垂直于xOy平面指向纸里的方向存在按如图丙所示规律周期性变化的匀强磁场。在图甲中坐标原点O处有带正电的粒子,从t=0时刻无初速度释放。已知粒子的质量m=5×10-10kg,电荷量q=1×10-6C,不计粒子的重力。求:
(1)t=0.25×10-3s时粒子的速度及位置;
(2)t=1×10-3s时粒子的位置坐标;
(3)t=8×10-3s时粒子的速度。


参考答案:解:(1)在第一个t0=0.25×10-3s内粒子的加速度a满足:qE=ma
末速度v1=at0=5m/s
沿x轴正向运动L1=
t0=6.25×10-4m
(2)在0.25×10-3~0.5×10-3s内粒子做匀速圆周运动
T=
=0.5 ×10-3s
故粒子在0.25×10-3s这段时间内运动了半个圆周
圆周运动的半径R1=
在0.5×10-3~0.75×10-3s内粒子沿x轴负向匀加速运动
末速度大小v2=v1+at0=2v1
位移大小L2=
t0=3L1
在0.75×10-3~1×10-3s内粒子做匀速圆周运动
R2=
=2R1
末位置坐标:x=-(L2-L1)=-1.25×10-3m
y=-(2R2-2R1)=-8 ×10-4m。
(3)粒子在8×10-3s内16次加速,每次速度增加v1,故:v=16v1,v=80m/s
方向沿x轴正向
本题解析:
本题难度:困难
3、选择题 如图所示,在空间中存在匀强电场和匀强磁场,磁场方向垂直纸面向里,电场方向平行于水平地面向右.一带电粒子在空间中从N沿着虚线运动到M,带电粒子的重力不可忽略,则以下说法正确的是( )
A.带电粒子一定带正电
B.带电粒子可能带正电
C.粒子将做匀速运动,则其动能、电势能均保持不变
D.粒子的电势能减小
参考答案:
A、根据做直线运动的条件和受力情况(如图所示)可知,微粒一定带负电,且做匀速直线运动,所以选项A错误.
B、根据做直线运动的条件和受力情况(如图所示)可知,微粒一定带负电,且做匀速直线运动,所以选项B错误.
C、由能量守恒可知,电势能减小,机械能一定增加,所以选项C错误;
D、由于电场力向左,对微粒做正功,电势能一定减小,选项D正确.
故选D.
本题解析:
本题难度:一般
4、选择题 如图所示,质量为m、电荷量为q的带电液滴从h高处自由下落,进入一个互相垂直的匀强电场和匀强磁场区域,磁场方向垂直纸面,磁感应强度为B,电场强度为E。已知液滴在此区域中做匀速圆周运动,则圆周运动的半径R为(?)
A.
B.
C.
D.
参考答案:AC
本题解析:∵
,
?∴
又∵
,∴
。
本题难度:一般
5、选择题 在如图所示的匀强电场和匀强磁场共存的区域内,电子(不计重力)可能沿水平方向向右作直线运动的是( )
A.
B.
C.
D.
?
参考答案:A、若电子向右运动,则受到电场力向左,洛伦兹力向下,合力跟初速度方向不在同一直线上,故A错误;
B、若电子向右运动,则受到电场力向左,不受洛伦兹力,合力跟初速度方向在同一直线上,故B正确;
C、若电子向右运动,则受到电场力向上,洛伦兹力向下,当电场力等于洛伦兹力时,电子向右匀速运动,故C正确;
D、若电子向右运动,则受到电场力向上,洛伦兹力向上,合力跟初速度方向不在同一直线上,故D错误;
故选BC.
本题解析:
本题难度:一般