时间:2019-06-26 05:01:13
1、选择题 不定项选择
关于回旋加速器加速带电粒子所获的能量
A.与加速器的半径有关,半径越大,能量越大
B.与加速器的磁场有关,磁场越强,能量越大?
C.与加速器的电场有关,电场越强,能量越大
D.与带电粒子的质量和电量均有关,质量和电量越大,能量越大?
参考答案:AB
本题解析:
本题难度:一般
2、选择题 回旋加速器是加速带电粒子的装置,其核心部分是分别与高频交流电两极相连接的两个D形金属盒,两盒间的狭缝中形成的周期性变化的匀强电场(其频率为f),使粒子在通过狭缝时都能得到加速,两D形金属盒处于垂直于盒底面的匀强磁场中,如图6所示,设匀强磁场的磁感应强度为B,D形金属盒的半径为R,狭缝间的距离为d,匀强电场间的加速电压为U.则下列说法中正确的是( )
A.增大匀强电场间的加速电压,被加速粒子最终获得的动能将增大
B.增大磁场的磁感应强度,被加速粒子最终获得的动能将增大
C.被加速粒子最终速度大小不超2πfR
D.增大匀强电场间的加速电压,被加速粒子在加速器中运动的圈数将减少
参考答案:BCD
本题解析:
本题难度:简单
3、选择题 图是质谱仪的工作原理示意图。带电粒子被加速电场加速后,进入速度选择器速度选择器内相互正交的匀强磁场和匀强电场的强度分别为B和E平板S上有可让粒子通过的狭缝P和记录粒子位置的胶片A1A2,平板S下方有强度为B0的匀强磁场。下列表述正确的是 
[? ]
A.质谱仪是分析同位素的重要工具
B.速度选择器中的磁场方向垂直纸面向外
C.能通过狭缝P的带电粒子的速率等于E/B
D.粒子打在胶片上的位置越靠近狭缝P,粒子的荷质比越小
参考答案:ABC
本题解析:
本题难度:一般
4、选择题 如图(a)是用来加速带电粒子的回旋加速器示意图,其核心部分是两个D形金属盒,在加速带电粒子时,两金属盒置于匀强磁场中,并分别与高频电源相连。带电粒子在运动中的动能Ek随时间t的变化规律如图(b)所示。若忽略带电粒子在电场中的加速时间,则下列判断正确的是
[? ]
A.由Ek-t图可知,要想粒子获得的最大动能越大,则要求D形盒的面积也越大
B.在Ek-t图中应有t4-t3=t3-t2=t2-t1
C.高频电源的变化周期应该等于tn-tn-1
D.由Ek-t图可知,粒子加速次数越多,粒子最大动能一定越大
参考答案:AB
本题解析:
本题难度:一般
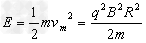
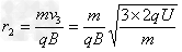
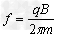
5、计算题 在高能物理研究中,粒子回旋加速器起着重要作用,如图甲为它的示意图。它由两个铝制D型金属扁盒组成,两个D形盒正中间开有一条窄缝。两个D型盒处在匀强磁场中并接有高频交变电压。图乙为俯视图,在D型盒上半面中心S处有一正离子源,它发出的正离子,经狭缝电压加速后,进入D型盒中。在磁场力的作用下运动半周,再经狭缝电压加速。如此周而复始,最后到达D型盒的边缘,获得最大速度,由导出装置导出。已知正离子的电荷量为q,质量为m,加速时电极间电压大小为U,磁场的磁感应强度为B,D型盒的半径为R。每次加速的时间很短,可以忽略不计。正离子从离子源出发时的初速度为零,求
(1)为了使正离子每经过窄缝都被加速,求交变电压的频率;
(2)求离子能获得的最大动能;
(3)求离子第1次与第n次在下半盒中运动的轨道半径之比。
参考答案:解:(1)使正离子每经过窄缝都被加速,交变电压的频率应等于离子做圆周运动的频率正离子在磁场中做匀速圆周运动,由洛仑兹力提供向心力
又
解得
?
所以
?
(2)当离子从D盒边缘离开时速度最大,此时离子做圆周运动的半径为D盒的半径有
离子获得的最大动能为
(3)离子从S点经电场加速1次后,以速度v1第1次进入下半盒
由动能定理
解得
,
离子从S点经电场加速3次后,以速度v3第2次进入下半盒
解得
,
离子经电场加速(2n-1)次后,第n次进入磁场
同理可得
所以
(n = 1,2,3 ……)
本题解析:
本题难度:困难