时间:2019-06-26 04:40:09
1、计算题 一个质量为M的雪橇静止在水平雪地上,一条质量为m的爱斯基摩狗站在该雪橇上。狗向雪橇的正后方跳下,随后又追赶并向前跳上雪橇;其后狗又反复地跳下、追赶并跳上雪橇,狗与雪橇始终沿一条直线运动。若狗跳离雪橇时雪橇的速度为V,则此时狗相对于地面的速度为V+u(其中u为狗相对于雪橇的速度,V+u为代数和。若以雪橇运动的方向为正方向,则V为正值,u为负值)。设狗总以速度v追赶和跳上雪橇,雪橇与雪地间的摩擦忽略不计。已知v的大小为5m/s,u的大小为4m/s,M=30kg,m=10kg。
(1)求狗第一次跳上雪橇后两者的共同速度的大小。
(2)求雪橇最终速度的大小和狗最多能跳上雪橇的次数。(供使用但不一定用到的对数值:lg2=0.301,lg3=0.477)
参考答案:解:(1)设雪橇运动的方向为正方向,狗第1次跳下雪橇后雪橇的速度为V1,根据动量守恒定律,有
狗第1次跳上雪橇时,雪橇与狗的共同速度V1"满足
可解得
将
代入,得
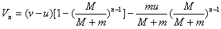
(2)设雪橇运动的方向为正方向,狗第(n-1)次跳下雪橇后雪橇的速度为Vn-1,则狗第(n-1)次跳上雪橇后的速度
满足
这样,狗n次跳下雪橇后,雪橇的速度为Vn满足
解得
狗追不上雪橇的条件是Vn≥v
可化为
最后可求得
代入数据,得
狗最多能跳上雪橇3次,雪橇最终的速度大小为V4=5.625m/s
本题解析:
本题难度:困难
2、计算题 (16分)如图所示,在倾角θ=30?的斜面上放置一段凹槽B,B与斜面间的动摩擦因数μ=
,槽内靠近右侧壁处有一小球A,它到凹槽内左壁侧的距离d=0.10m.A、B的质量都为m=2.0kg,B与斜面间的最大静摩擦力可认为等于滑动摩擦力,不计A、B之间的摩擦,斜面足够长.现同时由静止释放A、B,经过一段时间,A与B的侧壁发生碰撞,碰撞过程不损失机械能,碰撞时间极短.取重力加速度g=10m/s2.求:
(1)A与B的左侧壁第一次发生碰撞后瞬间A、B的速度.
(2)在A与B的左侧壁发生第一次碰撞后到第二次碰撞前的这段时间内,A与B的左侧壁的距离最大可达到多少?
参考答案:(1)A、B的速度分别为
0,
1.0 m/s(方向沿斜面向下)(2)A与B的左侧壁的距离最大可达到0.10m
本题解析:(1)A在凹槽内,B受到的滑动摩擦力
="10N" ,B所受重力沿斜面的分力
="10N" , 因为
,所以B受力平衡,释放后B保持静止(1分)
释放A后,A做匀加速运动,由牛顿定律和运动学规律得:
?(1分)
?(1分)
解得A的加速度和碰撞前的速度分别为
5m/s2,
1.0 m/s?(1分)
A、B发生碰撞,动量守恒?
?(1分)
碰撞过程不损失机械能,得?
?(1分)
解得A、B的速度分别为
0,
1.0 m/s(方向沿斜面向下)?(2分)
?
(2)A、B第一次碰撞后,B做匀速运动
?(1分)
A做匀加速运动,加速度仍为a1
?(1分)
?(1分)
经过时间t1,A的速度与B相等,A与B的左侧壁距离达到最大,即
?(1分)
?(1分)
代入数据解得A与B左侧壁的距离
0.10m?(1分)
因为
, A恰好运动到B的右侧壁,而且速度相等,所以A与B的右侧壁恰好接触但没有发生碰撞。?
因此A与B的左侧壁的距离最大可达到0.10m。?(2分)
点评:本题难度中等,明确题目所给的碰后速度相同的条件,通过分析受力和做功情况判断运动和能量变化情况,判断出速度相同是两者距离最大的临界条件是本题求解的关键
本题难度:一般
3、选择题 三木块从同一高度同时开始自由下落,其中木块甲自由落体;木块乙在刚刚开始下落时被一颗子弹沿水平方向击中并留在其中;木块丙在下落途中被一颗子弹沿水平方向击中并留在其中。不计空气阻力及子弹进入木块的时间,则(?)
A.三块木块同时落地
B.甲木块最先落地,乙、丙同时落地
C.木块丙最后落地,甲、乙同时落地
D.甲、乙、丙依次先后落地
参考答案:C
本题解析:略
本题难度:简单
4、选择题 质量为M的小车,以速度v在光滑水平面上前进,车上站着质量为m的人,当人以相对车的速度u向车后水平跳出,车速变为v0.若取v0方向为正,则
A.(m+M)v0=Mv
B.(m+M)v0=Mv-mu
C.(m+M)v0=Mv+m(u+v)
D.(m+M)v0=Mv-m(u-v)
参考答案:D
本题解析:由于A项末动量丢失了人的动量;B项末动量中人的动量与力的动量以及始动量(m+M)v0所选参考系不一致;C项末动量中弄错了人的动量的方向符号和运算符号;D项始末总动量描述正确,因此D项正确.
本题难度:一般
5、选择题 2005年7月26日,美国“发现号”航天飞机从肯尼迪航天中心发射升空,飞行中一只飞鸟撞上了航天飞机的外挂油箱,幸好当时速度不大,航天飞机有惊无险.假设某航天器的总质量为10吨,以2km/s的速度高速运行时迎面撞上一只速度为10m/s、质量为5kg的大鸟,碰撞时间为1.0×10-5s,则撞击过程中的平均作用力约为(? )
A.2×109N
B.1×109N
C.1×1012N
D.2×106N
参考答案:B
本题解析:大鸟撞上飞机,认为瞬间跟飞机速度相等,即大鸟速度改变量近似认为是2km/s,根据动量定理,对于大鸟有
,则则撞击过程中的平均作用力约为
故选B
本题难度:简单