时间:2019-06-26 04:35:43
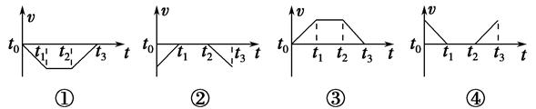
1、选择题 某人在地面上用弹簧秤称得其体重为490 N.他将弹簧秤移至电梯内称其体重,t0至t3时间段内,弹簧秤的示数如图所示,电梯运行的v-t图可能是(取电梯向上运动的方向为正)( ).

A.①③
B.②④
C.①④
D.②③
参考答案:C
本题解析:从图可以看出,t0~t1时间内,该人的视重小于其重力,t1~t2时间内,视重正好等于其重力,而在t2~t3时间内,视重大于其重力,根据题中所设的正方向可知,t0~t1时间内,该人具有向下的加速度,t1~t2时间内,该人处于平衡状态,而在t2~t3时间内,该人则具有向上的加速度,所以可能的图象为①、④.故选C。
本题难度:一般
2、选择题 下面关于失重和超重的说法,正确的是(?)
A.物体处于失重状态时所受重力减小;处于超重状态时所受重力增大
B.在电梯上出现失重状态时,电梯必定处于下降过程
C.在电梯上出现超重现象时,电梯有可能处于下降过程
D.只要物体运动的加速度方向向下,必定处于失重状态
参考答案:CD
本题解析::物体处于失重状态和超重状态时所受重力不变,选项A错误;在电梯上出现失重状态时,电梯必定加速度向下,选项B错误D正确;在电梯上出现超重现象时,电梯加速度方向向上,电梯有可能处于减速下降过程,选项C正确。
本题难度:简单
3、选择题 下列关于超重与失重的说法中,正确的是-------------------------(?)
A.超重就是物体的重力增加了
B.失重就是物休的重力减少了;
C.完全失重就是物体的重力没有了;
D.不论是超重、失重,还是完全失重,物体所受的重力是不变。
参考答案:D
本题解析:分析:当物体对接触面的压力大于物体的真实重力时,就说物体处于超重状态,此时有向上的加速度;当物体对接触面的压力小于物体的真实重力时,就说物体处于失重状态,此时有向下的加速度;如果没有压力了,那么就是处于完全失重状态,此时向下加速度的大小为重力加速度g.
解答:解:A、超重是物体对接触面的压力大于物体的真实重力,物体的重力并没有增加,所以A错误.
B、失重是物体对接触面的压力小于物体的真实重力,物体的重力并没有减小,所以B错误.
C、完全失重是说物体对接触面的压力为零的时候,此时物体的重力也不变,所以C错误.
D、不论是超重、失重,还是完全失重,物体所受的重力是不变的,只是对接触面的压力不和重力相等了,所以D正确.
故选D.
点评:本题主要考查了对超重失重现象的理解,人处于超重或失重状态时,人的重力并没变,只是对支持物的压力变了.
本题难度:简单
4、选择题 如图是“神舟”系列航天飞船返回舱返回地面的示意图,假定其过程可简化为:打开降落伞一段时间后,整个装置匀速下降,为确保安全着陆,需点燃返回舱的缓冲火箭,在火箭喷气过程中返回舱做减速直线运动,则( )
A..火箭开始喷气瞬间伞绳对返回舱的拉力变小
B..返回舱在喷气过程中减速的主要原因是空气阻力
C.返回舱在喷气过程中所受合外力可能做正功
D..返回舱在喷气过程中处于失重状态
参考答案:A、火箭开始喷气前匀速下降拉力等于重力减去返回舱受到的空气阻力,火箭开始喷气瞬间反冲力直接对返回舱作用因而伞绳对返回舱的拉力变小.所以A正确.
B、返回舱在喷气过程中减速的主要原因是缓冲火箭向下喷气而获得向上的反冲力,不是空气阻力,所以B错误.
C、在火箭喷气过程中返回舱做减速直线运动,加速度方向向上,返回舱处于超重状态,动能减小,返回舱所受合外力做负功,所以C错误.
D、由C的分析可知,D错误.
故选A.
本题解析:
本题难度:简单
5、选择题 下列事例描述的过程属于超重现象的是?
A.汽车驶过拱形桥顶端
B.荡秋千的小孩通过最低点
C.火箭点火后加速升空
D.跳水运动员离开跳板向上运动
参考答案:BC
本题解析:物体具有向上的加速度即为超重,汽车驶过拱形桥顶端(物体具有向下的加速度)荡秋千的小孩通过最低点(具有向 上的加速度),火箭点火后加速升空(火箭点火后加速升空)跳水运动员离开跳板向上运动(有向下的加速度大小为g),故选BC
本题难度:简单