时间:2019-06-26 04:30:16
1、计算题 (10分)质量为0.3kg的物体在水平面上作直线运动,图中a
参考答案:
本题解析:
本题难度:一般
2、计算题 如图所示是某质点运动的v-t图象,请回答:
(1)质点在图中各段的过程中做什么性质的运动?
(2)在0~4 s内、8~12 s内质点的加速度各是多少?
(3)质点在5 s末的速度是多大?

参考答案:解:(1)0~4 s:匀加速直线运动
4~8 s:匀速直线运动
8~10 s:匀减速直线运动
10~12 s:负方向匀加速直线运动
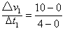
(2)0~4 s:a1=
m/s2=2.5 m/s2
8~12 s:a2=
m/s2=-5 m/s2
(3)质点在5 s末速度为10 m/s
本题解析:
本题难度:一般
3、选择题 质量为0.2kg的物体在水平面上运动,它的两个正交分速度图线分别如图所示,由图可知(?)
A.最初4s内物体的位移为
B.从开始至6s末物体都做曲线运动
C.最初4s内物体做曲线运动,接着的2s物体做直线运动
D.最初4s物体做直线运动,接着的2s物体做曲线运动
参考答案:AC
本题解析:速度-时间图象与时间轴围成的面积表示物体运动的位移,开始4s内物体沿x方向位移为x=2×4m=8m,沿y方向位移
,所以开始4s内物体的位移为
;t=0时物体初速度方向为x方向,加速度方向为y方向,两者不在一条直线上,所以物体做曲线运动,4s末物体的速度方向与x方向夹角的正切值为
,4s后加速度大小分别为
,
,加速度方向与x负方向夹角的正切值为
,因此,速度方向与加速度方向在同一条直线上,物体要做匀减速直线运动,所以正确选项为A、C。
本题难度:一般
4、选择题 一物体沿直线运动,其v-t图像如图所示,则关于该物体的运动情况,下列判断中正确的是(? )
A.第1s末物体的位移和速度都改变方向
B.第2s末物体的位移和速度都改变方向
C.第2s末物体回到了起点
D.第1s末、第3s末、第5s末物体所在的位置相同
参考答案:D
本题解析:由图知,第1s末物体的加速度改变方向,物体的位移和速度都没有改变方向,都是正方向,A错;第2s末物体的速度改变方向,但物体的位移没有改变方向,仍是正方向,B错;物体在第2s末离出发点最远,4s末回到起点,C错;物体在第1s末、第3s末、第5s末物体离出发点的距离都是
,物体所在的位置相同,D对。
点评:v-t图像中图线在第一象限表示物体沿正方向运动,图线在第四象限表示物体沿负方向运动,图线与横轴围成的面积表示位移。
本题难度:一般
5、选择题 如图所示,为某质点运动的速度一时间图象,下列有关物体运动情况的判断,正确的是
[? ]
A.0~t1时间内加速度为正,质点做加速运动
B.t1~t2时间内加速度为负,质点做减速运动
C.t2~t3时间内加速度为负,质点做减速运动
D.t3~t4时间内加速度为正,质点做加速运动
参考答案:AB
本题解析:
本题难度:简单