时间:2019-06-23 22:21:54
1、计算题 已知地球半径为R,地球表面重力加速度为g,引力常量为G,不考虑地球自转的影响。
(1)求卫星环绕地球运行的第一宇宙速度v1;
(2)若卫星绕地球做匀速圆周运动且运行周期为T,求卫星运行半径r;
(3)由题目所给条件,请提出一种估算地球平均密度的方法,并推导出密度表达式。
参考答案:解:(1)设卫星的质量为m,地球的质量为M
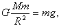
物体在地球表面附近满足
?①
第一宇宙速度是指卫星在地面附近绕地球做匀速圆周运动的速度,卫星做圆周运动的向心力等于它受到的万有引力
?②
①式代入②式,得
(2)卫星受到的万有引力为
?③
由①③式解得
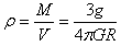
(3)设质量为m0的小物体在地球表面附近所受重力为m0g,则
将地球看成是半径为R的球体,其体积为V,
地球的平均密度为
本题解析:
本题难度:困难
2、填空题 已知地球的质量为M,半径为R,表面的重力加速度为g,那么地球的第一宇宙速度的表达式为______和______.
参考答案:第一宇宙速度是卫星在近地圆轨道上的环绕速度,
根据万有引力提供向心力得:GMmR2=mv2R
v=
本题解析:
本题难度:一般
3、选择题 下列说法正确的是( )
A.第一宇宙速度是人造卫星在地面附近环绕地球做匀速圆周运动的速度
B.第二宇宙速度是人造卫星在较高轨道环绕地球做匀速圆周运动的速度
C.如果需要,地球同步通讯卫星可以定点在地球上空的任何一点
D.地球同步通讯卫星的轨道可以是圆的也可以是椭圆的
参考答案:A
本题解析:
本题难度:简单
4、填空题 第二宇宙速度数值为_________。
参考答案:11.2km/s
本题解析:
本题难度:简单
5、填空题 地球第一宇宙速度为 ,是人造地球卫星的 (最大、最小)发射速度,是人造地球卫星的 (最大、最小)环绕速度。
参考答案:7.9 km/s 、最小、最大
本题解析:地球第一宇宙速度为7.9 km/s,是人造地球卫星的最小发射速度,最大环绕速度
故答案为:7.9 km/s 、最小、最大
本题难度:简单