高中物理高考知识点《弹力》在线测试(2019年最新版)(九)

时间:2019-06-23 22:20:32

微信搜索关注"91考试网"公众号,领30元,获取事业编教师公务员等考试资料40G

1、实验题  用如图所示的装置验证动量守恒定律.先将质量为的小球A从斜槽轨道上端无初速释放,经轨道末端水平抛出,经时间t落在水平地面上的P点.然后在轨道末端放置质量为的小球B(两球形状相同,),将A球从同一位置无初速释放,与球B碰撞后,两球分别落在地面上的M点和N点.轨道末端的重锤线指向地面上的O点,测得,忽略小球的半径.求:

①与B球碰撞前瞬间A球的动量;
②A与B碰撞过程中,动量守恒的表达式.


参考答案:① ?②


本题解析:①小球A从斜槽轨道上端无初速释放,经轨道末端水平抛出,经时间t落在水平地面上的P点.则小球做平抛运动的初速度为
所以A碰B球前瞬间的动量为
②小球离开轨道后做平抛运动,小球抛出点的高度相同,它们在空中的运动时间t相等,
如果碰撞过程动量守恒,则:,两边同时乘以t,
得:,则:;即


本题难度:一般



2、填空题  一根轻质弹簧原长为20cm,其上端固定,下端竖直悬挂一个重为10N的静止物体,此时弹簧的长度为30cm,如图所示,则弹簧的劲度系数为______N/m.(已知弹簧的形变量在弹性限度范围内)91考试网


参考答案:由题,根据平衡条件得知,物体受到的弹力大小等于物体的重力大小,即F=G=10N,弹簧伸长的长度为x=30cm-20cm=0.1m,根据胡克定律F=kx得? k=Fx=100.1N/m=100N/m.
故答案为:100


本题解析:


本题难度:一般



3、选择题  如图所示,小球竖直地挂在轻绳下方并和光滑斜面恰好相接触.关于小球的受力分析,下列说法正确的是(  )
A.重力、轻绳的拉力、斜面支持力
B.重力、斜面的支持力
C.重力、轻绳的拉力
D.轻绳的拉力、斜面的支持力



参考答案:小球必定受到重力和绳的拉力.
小球和光滑斜面接触,斜面对小球没有弹力,假设有弹力,小球将受到三个力作用,重力和绳的拉力在竖直方向上,弹力垂直于斜面向上,三个力的合力不可能为零,小球将向右上方运动,与题设条件矛盾.故斜面对小球没有弹力.故小球只受到重力和细线对它的拉力两个力.故C正确,ABD错误.
故选:C


本题解析:


本题难度:简单



4、实验题  为了测定物块与木板间的动摩擦因数,设计如下实验:物块放在长木板上,木板固定在水平桌面上,物块前方装有轻质小滑轮,沙桶和弹簧秤通过绕在滑轮上的细绳相连,请回答如下问题:

(1)要完成本实验,使用的器材及其在实验中的作用如下:
①弹簧秤,用于测细线的拉力F;
②打点计时器、交流电源(50Hz)、纸带、导线、刻度尺,用于测量物块的加速度a;
③天平用于测量?(填相应的物理量及符号);
④其它器材如图所示。
(2)实验开始前,要对弹簧秤校零,以及调整木板端滑轮的高度使绳子水平。
(3)设动摩擦因数为μ,则(1)中各物理量之间的关系是______?.(用相应物理量的代数式表示)
(4)为了减小误差,必须采用多次测量,改变沙桶质量,得到多组a-F的测量值填入下表,其中第3次实验中,通过打点计时器得到一段纸带,某同学对纸带的测量如下图所示,请计算出此次实验中物块的加速度大小,填入表中相应的位置。(保留二位有效数字)

以图象法处理数据,请在坐标纸上画出a-F图线。

(5)取重力加速度g=l0m/s2,根据图线可求得动摩擦因数约为μ=?;还可求得物块质量m的大小约为?


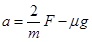
参考答案:(1)物块的质量m ;(3)2F-μmg=ma?(4)2.92? a-F图如图所示:?(5)0.5? 0.1kg


本题解析:(1)本实验是测量物块与木板间的动摩擦因数的,而摩擦力,故需测量物块的质量;(3)根据牛顿第二定律可得:2F-μmg=ma?(4)根据可得:(5.82-5.12)×10-2=6aT2,T=0.02s,代入数据可得:a="2.92" m/s2;描点作图,如图所示,舍第一个点并合理做虚线延伸与a轴相交;

(5)由图线方程可得:,所以由图像知,故;图像的斜率为,由图像可求斜率约为20,即,所以m=0.1.


本题难度:一般



5、实验题  在液体中下落的物体最终会达到一个恒定的速度,称之为收尾速度。一个半径为r的球体在液体中下落的收尾速度为,其中分别为液体的粘滞系数(与液体种类相关的常数)、重力加速度(本题中为已知量)、球体的密度、液体的密度。某同学为了测定某已知密度的液体的粘滞系数,选定了下列器材:一只1000mL的量筒;一块秒表;一把刻度尺;直径不同的铝球若干个(最大直径约10.00mm)。
⑴请列出该同学漏选的器材:?
⑵实验时,该同学首先将直径约10.00mm的铝球重复从装满被测液体的量筒液面上自由落下测定它通过量筒刻线750mL到500mL和450mL到200mL的两段时间,列表如下:

距离L(mL)
时间t(s)
平均时间t/(s)
750~500
1.74? 1.72? 1.72
1.73
450~200
1.73? 1.72? 1.73
1.73
由以上测量数据得到的结论是?
⑶若测出了不同半径的铝球的收尾速度,要求出液体的粘滞系数,对以上数据应如何处理?


参考答案:
⑴螺旋测微器(或游标卡尺)(2分)
⑵在750mm刻度线以内,铝球做匀速运动。(2分)
⑶作出v—r2的图象,由图线的斜率求粘滞系数(或先由不同直径铝球对应的收尾速度用公式求出粘滞系数,再求平均值)。(3分)


本题解析:


本题难度:一般




首页 上页 8 9 10 下页 尾页 9/10/10
微信搜索关注"91考试网"公众号,领30元,获取公务员事业编教师考试资料40G
【省市县地区导航】【考试题库导航】
 ★ 高考省级导航 ★ 
全国 A安徽 B北京 C重庆 F福建 G广东 广西 甘肃 贵州 H河南 河北 湖南 湖北 黑龙江 海南 J江苏 江西 吉林 L辽宁 N内蒙古 宁夏 Q青海 S山东 山西 陕西 四川 上海 T天津 X新疆 西藏 Y云南 Z浙江
 ★ 高考信息汇总 ★ 
 ★ 高考历年真题 ★ 
 ★ 高考历年真题 ★ 
 ★ 高考题库 ★ 
 ★ 高考题库 ★ 

电脑版  |  手机版  |  返回顶部