时间:2019-06-23 22:06:45
1、选择题 如图所示.用绝缘细线悬挂一个带正电的小球,置于水平向右的匀强电场中,将小球从最低点A无初速释放,当小球通过B点时具有速度v,则这一过程中
A.小球的重力势能增加
B.小球的电势能减少
C.增加的重力势能等于减少的电势能
D.增加的重力势能小于减少的电势能
参考答案:ABD
本题解析:略
本题难度:简单
2、选择题 在一个孤立点电荷+Q形成的电场中,下述分析正确的是( ? )
A.电场强度越大的地方,电势一定越低
B.点电荷+q在该电场中某点所受电场力越大,具有的电势能越大(取无穷远处电势能为零)
C.在该电场中同一个等势面上各点的电场强度一定相同
D.点电荷+q从该电场中某点自由释放后,将做匀加速直线运动
参考答案:B
本题解析:
本题难度:一般
3、选择题 如图所示,两个等量的负点电荷,在其连线的中垂线上有与连线中点O等距离的两点a、b,在a点由静止释放一带正电的粒子(不计重力),则关于带点粒子的运动情况正确的是(?)
A.速度先增大后减小
B.加速度先减小后增大
C.由a到b电势先升高后降低
D.带点粒子的动能与电势能之和保持不变
参考答案:AD
本题解析:由受力分析可知,正电荷在ab线上电场力方向沿着ab方向先向下后向上,所以电场力先做正功后做负功,即粒子速度先增加后减小,A正确。不管粒子如何运动,其具有能量也就是动能和电势能之和应守恒,所以D正确。由于电场力先做正功后做负功,所以电势先减小后增加,C错。在ab中垂线上,O点电场为零,无穷远处电场为零,所以从无穷远处到O点,电场先增加后减少,但是最大值是否在a处不明,所以B错
点评:本题型考查等量同种电荷在空间部分的电场线,尤其是作为特殊位置的中垂线。
本题难度:简单
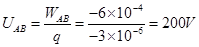
4、填空题 有一带电荷量q=-3×10-6 C的点电荷, 从电场中的A点移到B点时, 克服电场力做功6×10-4 J,从B点移到C点时电场力做功9×10-4 J。则:
(1)AB间电势差
、BC间电势差
(2)如以B点电势为零,则A点的电势
参考答案:(1)200V,-300V?(2)200V
本题解析:电场力做功:
,所以
;从B点移到C点时电场力做功
,所以
;
,所以:
本题难度:一般
5、计算题 将带电量为2.0×10-6C的正电荷从电场中的A点移到B点,克服电场力做了3.0×10-5J的功,再从B移到C,电场力做了4.2×10-5J的功,求:
小题1:电荷从A点到C点的过程中电势能改变了多少;
小题2:A、C两点间的电势差。
参考答案:
小题1:-1.2×10-5J
小题2:6.0V
本题解析:
(1)? WAC=W1+W2=-3.0×10-5+4.2×10-5=1.2×10-5J?
ΔEP="-" WAC=-1.2×10-5J?
(2)? UAC=WAC/q="6.0V?"
本题难度:一般