高考物理知识大全《力的合成》高频考点强化练习(2019年最新版)(九)

时间:2019-06-23 22:04:00

微信搜索关注"91考试网"公众号,领30元,获取事业编教师公务员等考试资料40G

1、填空题  在“探究求合力的规律”的实验中,如图是一个同学某次实验用两弹簧秤通过细线Oa、Ob拉橡皮条OO′的情况,其中错误或不妥当之处有:______.(至少写两条)91考试网


参考答案:在该实验中要正确测量弹簧的示数和弹力方向,在确定方向时,在细线下方用铅笔点得点距离要适当的大些,因此细线不能太短;同时弹簧的轴线和细线要在同一直线上,这样测量才能准确;作图时,平行四边形要适度大些,不能太小.
故答案为:①细线Oa太短;②两线夹角太小;③弹簧的轴线没有与细线在同一直线上.(说任意两条即可).


本题解析:


本题难度:一般



2、选择题  质量为2kg的物体,受到2N、8N两个共点力作用,则物体的加速度可能为
A.0
B.4m/s2
C.8 m/s2
D.10 m/s2


参考答案:B


本题解析:两个共点合力的范围:|F1-F2| ≤ F合 ≤ F1+F2,则2N、8N两共点力的合力范围是:6N ≤ F合 ≤ 10N,所以物体的加速度的范围为:3m/s2 ≤ a ≤ 5m/s2.


本题难度:简单



3、选择题  如图所示,空间存在足够大、正交的匀强电、磁场,电场强度为E、方向竖直向下,磁感应强度为B、方向垂直纸面向里。从电、磁场中某点P由静止释放一个质量为m、带电量为+q的粒子(粒子受到的重力忽略不计),其运动轨迹如图虚线所示。对于带电粒子在电、磁场中下落的最大高度H,下面给出了四个表达式,用你已有的知识计算可能会有困难,但你可以用学过的知识对下面的四个选项做出判断。你认为正确的是(?)?

A. ?B. C. ?D. ?


参考答案:B


本题解析:因能量对应着功,故可有,而电场力与洛伦兹力量纲相同qE=Bqv,整理可得:,又因不是要求H,但H的单位一定与的单位相同,故B正确;A、C、D错误。


本题难度:一般



4、选择题  伽俐略对运动的研究,不仅确立了许多用于描述运动的基本概念,而且创造了一套对近代科学的发展极为有益的科学方法,或者说给出了科学研究过程的基本要素.关于这些要素的排列顺序应该是
A.提出假设对现象的观察运用逻辑得出推论用实验检验推论对假说进行修正和推广
B.对现象的观察提出假设运用逻辑得出推论用实验检验推论对假说进行修正和推广
C.提出假设对现象的观察对假说进行修正和推广运用逻辑得出推论用实验检验推论
D.对现象的观察提出假设运用逻辑得出推论对假说进行修正和推广用实验检验推论


参考答案:B


本题解析:伽利略推翻亚里士多德的观点,认为在没有空气阻力的情况下,轻重不同物体的下落快慢会是一样的,在否定了亚里士多德的观点后,伽利略并没有就此止步,他又进一步研究自由落体运动的规律。在研究物体沿不同角度的斜面运动的情况时,他进行了上百次的定量研究,发现从斜面上滚下的小球都做匀加速运动。由此他推想,当斜面倾角增大到90°,小球做自由落体运动时,仍然会做匀加速运动。伽利略对运动的研究,不仅确立了许多用于描述运动的基本概念,而且创造了一套对近代科学的发展极为有益的方法,即对现象的一般观察提出假设运用逻辑得出推论实验进行检验对假设进行修正和推广,所以B选项正确。


本题难度:简单



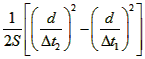
5、实验题  某实验小组利用如图甲所示的实验装置来探究当合外力一定时,物体运动的加速度与其质量之间的关系。

(1)由图甲中刻度尺读出两个光电门中心之间的距离S,由游标卡尺测得遮光条的宽度d,由数字计时器可以读出遮光条通过电门1的时间和遮光条通过光电门2的时间,滑块的加速度的表达式为__________________。(以上表达式均用字母表示)
(2)在本次实验中,实验小组通过改变滑块质量做了6组实验,得到如表的实验数据,


根据实验数据作出了的图线如图所示,该图线有一段是弯曲的,试分析图线弯曲的原因。


参考答案:(1)
(2)滑块质量过小,不再能满足m>>m钩这一实验条件


本题解析:


本题难度:一般




首页 上页 8 9 10 下页 尾页 9/10/10
微信搜索关注"91考试网"公众号,领30元,获取公务员事业编教师考试资料40G
【省市县地区导航】【考试题库导航】
 ★ 高考省级导航 ★ 
全国 A安徽 B北京 C重庆 F福建 G广东 广西 甘肃 贵州 H河南 河北 湖南 湖北 黑龙江 海南 J江苏 江西 吉林 L辽宁 N内蒙古 宁夏 Q青海 S山东 山西 陕西 四川 上海 T天津 X新疆 西藏 Y云南 Z浙江
 ★ 高考信息汇总 ★ 
 ★ 高考历年真题 ★ 
 ★ 高考历年真题 ★ 
 ★ 高考题库 ★ 
 ★ 高考题库 ★ 

电脑版  |  手机版  |  返回顶部