时间:2019-06-23 21:46:03
1、实验题 如图所示,在水平地面上静置一质量为m=2.0kg的物块,现对物块施加一水平向右的拉力
,物块开始向右做匀加速直线运动;过一段时间后,保持拉力的方向不变,大小变为
,物块开始做匀减速直线运动.若加速与减速运动的时间和位移的大小均相等,则物块与地面间的动摩擦因数为?。g=10m/s2
参考答案:0.4
本题解析:因加速和减速时间相等,则加速度大小相等,故摩擦力大小为8N,进一步算出摩擦因数为0.4
本题难度:简单
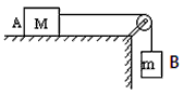
2、计算题 A、B物块质量分别为M、m,按照如图所示连结。A与桌面无摩擦,绳子不可伸长,且绳子和滑轮的质量、滑轮的摩擦均可不计。先用手使A处于静止状态,求当手放开后,A的加速度。 
参考答案:解:对A:

对B: 
,∴
。
本题解析:
本题难度:一般
3、选择题 下列说法中正确的是(?)
A.当物体做直线运动,路程等于位移的大小;
B.体育教练员研究百米赛跑运动员的起跑动作时不能把运动员当成质点;
C.右图是一高速公路指示牌,牌中“25 km”是指从此处到下一个出口的位移为25km;
D.若加速度与速度方向相同,加速度在减小的过程中,物体运动的速度一定减小。
参考答案:B
本题解析:A选项不正确,因为物体有可能做往复运动,C选项指的是从此处到下一个出口的路程为25km,D选项只要加速度与速度方向相同,物体运动的速度就增大。只有B正确。
本题难度:简单
4、计算题 质量为m的物体,放在水平面上,它们之间的动摩擦因数μ,现对物体施F的作用力,方向与水平成θ角斜向上,如图所示,物体由静止开始在水平面运动t秒后撤去力F,物体经过一段时间停止。求:
(1)物体开始运动的加速度?
(2)物体的最大速度?
(3)物体总的位移? 
参考答案:解:(1)由牛顿定律:
,
,
解得:
(2)最大速度:
=
(3)物体的总位移:
本题解析:
本题难度:困难
5、计算题 一列质量为106kg的列车,机车牵引力F=3.5×105N,运动中所受阻力为车重的0.01倍。列车由静止开始作匀加速直线运动,求:
(1)速度变为50m/s需多长时间?
(2)此过程中前进了多少?
参考答案:解:(1)设列车匀加速运动的加速度为a,对列车由牛顿第二定律有 F-Ff=ma,
则列车的加速度
? =0.25m/s2
列车由静止加速到50m/s所用的时间
s?
(2)此过程中列车的位移为
=5×103m=5km。
本题解析:
本题难度:一般