时间:2019-06-23 21:45:42
1、选择题 如图所示,带电粒子速度v通过一个正方形区域,不计粒子的重力,当区域内只有垂直纸面向里的匀强磁场时,粒子从B点飞出,所用时间t1;当区域内只有平行纸面向竖直方向的匀强电场时,粒子从A点飞出,所用时间为t2,下面说法正确的是( )
A.粒子带负电荷
B.t1<t2
C.t1=t2
D.t1>t2
参考答案:AD
本题解析:
本题难度:简单
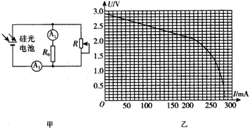
2、实验题 2010年世博会在上海举行,本次世博会大量采用低碳环保技术,太阳能电池用作照明电源是其中的亮点之一。硅光电池是太阳能电池的一种,某同学为了测定该电池的电动势和内电阻,设计了如图甲所示电路。图中与A1串联的定值电阻的阻值为R0,电流表视为理想电表,在一定强度的光照下进行下述实验(计算结果小数点后保留两位数字): 
(1)闭合开关,调节滑动变阻器,读出电流表A1,A2的值I1,I2。为了作出此电池的U-I曲线,需要计算出电路的路端电压U,则U=____(用题中所给字母表示);
(2)根据测量数据作出该硅光电池的U-I图象如图乙所示,该电池的电动势E=____V,在流过电流表A2的电流小于200 mA的情况下,此电池的内阻r=___Ω;
(3)若将该硅光电池两端接上阻值为6 Ω的电阻,此时对应的电池内阻r=___Ω。
参考答案:(1)I1R0
(2)2.90,4.00
(3)5.60
本题解析:
本题难度:一般
3、简答题 (1)用多用表的欧姆档测量某电阻时,如果测量时指针的偏转情况如图a所示,则应______?(选填“增大”、“减小”)倍率,调整倍率后测量阻值前必须进行的操作是______.若最后选定的倍率为“×100”,指针指在如图b所示位置,该电阻的阻值为______?欧.
(2)若用多用表测电压,选定直流电压“10V”挡,指针指在如图中b所示位置,该电压值为______伏.
参考答案:(1)因为指针偏转较大太大,可知该电阻较小,为了减小误差,减小倍率,换挡后必须进行欧姆调零.电阻阻值R=32×100Ω=3200Ω.
(2)选定直流电压“10V”挡,知最大电压为10V,在表盘上0-10V这排进行读数,U=4.25V.
故答案为:(1)减小,欧姆调零,3200?(2)4.25到4.30之间均可
本题解析:
本题难度:一般
4、选择题 如图所示,+Q为固定的正电荷,在它的电场中,一电荷量为+q的粒子,从a点以沿ab方向的初速度v0开始运动.若粒子只受电场力作用,则它的运动轨迹不可能是图中的( ? )
A.ab直线
B.ac曲线
C.ad曲线
D.ae曲线
参考答案:ACD
本题解析:
本题难度:简单
5、计算题 飞行时间质谱仪可以对气体分子进行分析。飞行时间质谱仪主要由脉冲阀、激光器、加速电场、偏转电场和探测器组成,探测器可以在轨道上移动以捕获和观察带电粒子。整个装置处于真空状态。加速电场和偏转电场电压可以调节,只要测量出带电粒子的飞行时间,即可以测量出其比荷。如图所示,脉冲阀P喷出微量气体,经激光照射产生不同价位的离子,自a板小孔进入a、b间的加速电场,从b板小孔射出,沿中线方向进入M、N板间的偏转控制区,到达探测器。已知加速电场a、b板间距为d,偏转电场极板M、N的长度为L1,宽度为L2。不计离子重力及进入a板时的初速度。
(1)设离子带电粒子比荷为k(k=q/m),如a、b间的加速电压为U1,试求离子进入偏转电场时的初速度v0;
(2)当a、b间的电压为U1时,在M、N间加上适当的电压U2,离子从脉冲阀P喷出到到达探测器的全部飞行时间为t。请推导出离子k比荷的表达式;
(3)在某次测量中探测器始终无法观察到离子,分析原因是离子偏转量过大,打到极板上,请说明如何调节才能观察到离子? 
参考答案:解:(1)设离子的带电量为q,质量为m,有
得:
(2)设离子在加速电场和偏转电场中的飞行时间分别为t1和t2,在加速电场中的加速度为a1,则: 



联立解得:
(3)设离子在偏转电场中的侧移量为y,则
所以减小偏转电压U2,或增大加速电压U1 (只答出一种方案即给分)
本题解析:
本题难度:困难