时间:2019-06-23 21:41:37
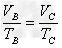
1、填空题 一定质量的理想气体从状态A开始变化到状态B。如图所示,已知状态A的
温度为400K。则变化到B状态时气体的温度为_____K,AB过程中最高温度_____K
(保留三位有效数字)。
参考答案:400;533.3
本题解析:由
可求得到B状态时气体的温度为400K,AB过程中最高温度为533.3
本题难度:一般
2、简答题 如图所示,薄壁光滑导热良好的气缸放在光滑水平面上,用横截面积为S=1.0×10-2m2的薄活塞封闭一定质量的理想气体,活塞另一端固定在墙上.外界大气压强P0=1.0×105Pa.当环境温度为27℃时,密闭气体的体积为2.0×10-3m3.
(1)当环境温度为87℃时,气缸自由移动了多少距离?
(2)如果环境温度保持在87℃,对气缸施加水平作用力,使缸内气体体积缓慢地恢复到原来数值,这时气缸受到的水平作用力多大?
(3)若气缸容积为V=4.2×10-3m3,要在环境温度为27℃时,用水平向左的力F=500N缓慢拉动气缸,则能否将气缸拉离活塞?
参考答案:(1)气体等压变化?V1T1=V2T2
解得V2=T2T1V1=360300×2.0×10-3m3=2.4×10-3m3
气缸移动的距离为:△l=V2-V1S=0.4×10-31.0×10-2m=4×10-2m
(2)从开始状态到最后状态,气体等容变化?P1T1=P3T3
解得:P3=T3P1T1=360×1.0×105300pa=1.2×105pa
活塞受力平衡,有P3S=P0S+F?
故F=(P3-P0?)S=2×104×10-2N=200N?
(3)对气缸,P4=P0-FS=(1.0×105-5001.0×10-2)Pa=0.5×105Pa
假设没拉出,根据玻意耳定律,有P1V1=P2V2?
解得V4=P1V1P4=1.0×105×2.0×10-30.5×105m3=4.0×10-3m3
∵V4<V,
∴不能拉离活塞.
本题解析:
本题难度:一般
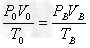
3、计算题 【选修3-3选做题】
一定质量的理想气体,其状态变化图如箭头顺序所示,AB平行于纵轴,BC平行于横轴,CA段是以纵轴和横轴为渐近线的双曲线的一部分,且已知A状态的压强和体积分别为
、
、
,且
,试求解下列问题:
(1)气体在B状态的温度和C状态的体积。
(2)从B到C过程中,是气体对外做功还是外界对气体做功?做了多少功?
参考答案:解:(1)由理想气体的状态方程可得:
从A到B,有:
?
因A到B是等容过程,故
由题知:
可得:
?
从B到C,是等压变化过程,固有:
又A到C是等温变化过程,故 
解得:
?
(2)从B到C等压过程中,气体的体积在减小,故知是外界对气体做功
做功为:
本题解析:
本题难度:一般
4、简答题 “用DIS研究温度不变时,一定质量的气体压强与体积的关系”的实验中
(1)所需的实验器材为:数据采集器、计算机、______和______.
(2)(单选题)若在输入体积值时未加上软管的体积,则实验结果的p-V图线可能为______(图中实线是实验所得图线,虚线为一根参考双曲线)
参考答案:(1)需要测量压强和体积,故需要压强传感器和注射器;
(2)压强测量值正确,体积测量值偏小,故实际曲线(虚线)应该在实线上方,故A错误,D错误;
由于体积变化时,软管中气体的体积占总体积的百分百会变化,即注射器中气体质量会变化,故图象不是双曲线,故B正确,C错误;
故选B;
故答案为:(1)压强传感器;注射器.(2)B.
本题解析:
本题难度:一般
5、选择题 一定质量理想气体的状态经历了如图所示的ab、bc、cd、da四个过程,其中ab的反向延长线通过原点,da与横轴平行,bc垂直与纵轴平行,cd与ab平行,则气体压强在

[? ]
参考答案:ACD
本题解析:
本题难度:一般