时间:2019-05-21 05:08:39
1、选择题 甲、乙两质点在同一直线上做匀加速直线运动的v-t图象,如图所示,在3s末两质点在途中相遇,两质点位置关系是( )
A.相遇前甲、乙两质点的最远距离为2m
B.相遇前甲、乙两质点的最远距离为3m
C.两质点出发点间的距离是乙在甲之前4m
D.两质点出发点间的距离是甲在乙之前4m
参考答案:D
本题解析:
本题难度:一般
2、计算题 在绝缘水平面上,有两个质量各为m的绝缘小球A、B,二者相距S0,如图所示。已知A球光滑,带有
的电荷,B球与水平面间的动摩擦因数为
。现在水平面上方加一水平向右的匀强电场,电场强度为E,A、B两球将发生完全弹性碰撞,碰撞过程电荷不转移。(重力加速度为g)
试求:
①A与B碰前的瞬间A球的速度。
②碰后瞬间A、B两球的速度各为多大?
③A、B两球从发生第一次碰撞到第二次碰撞时,A球通过的距离。
参考答案:①
?②
?③当
时,
;当
时,
本题解析:①设A与B碰前的瞬间A球的速度为
,此段时间内利用动能定理得:
,解得
?①
②设碰后瞬间A、B两球的速度分别为
和
,由于碰撞过程中动量和动能都守恒,故有:
?②?
?③
联合①②③得:
,
?④
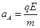
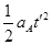
③A、B两球碰撞后,在最初的一段时间内,A球在电场力作用下做初速度为零的匀加速运动,加速度大小为
⑤
B球在摩擦力的作用下做初速度为
的匀减速运动,加速度大小为
⑥
要计算A、B两球从发生第一次碰撞到第二次碰撞A球通过的距离,有两种情况:一是B球的加速度过大,B球先停止,后A球与之碰撞;另一种情况是B球的加速度过小,在B球没有停止之前,A、B两球就已经发生了碰撞。
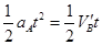
当B球刚停止二者刚好相碰时有:
⑦,
⑧
联立 ④~⑧得:
⑨
于是:
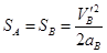
ⅰ、当
时,从发生第一次碰撞到第二次碰撞A球通过的距离等于B球减速的距离,
⑩
联立④⑥⑩得:从发生第一次碰撞到第二次碰撞A球通过的距离为

ⅱ、当
<
时,从发生第一次碰撞到第二次碰撞A球通过的距离就等于A球对B球的运动追击距离。设追击时间为
,则
,易求的
=
于是从发生第一次碰撞到第二次碰撞A球通过的距离为:
=
本题难度:一般
3、选择题 如图所示,一水平的浅色长传送带上放置一质量为m的煤块(可视为质点),煤块与传送带之间的动摩擦因数为μ.初始时,传送带与煤块都是静止的.现让传送带以恒定的加速度a开始运动,当其速度达到v后,便以此速度作匀速运动.经过一段时间,煤块在传送带上留下了一段黑色痕迹后,煤块相对于传送带不再滑动,关于上述过程,以下判断正确的是(重力加速度为g)( )
A.μ与a之间一定满足关系μ<
| a g |
| (a-μg)v2 2a2 |
| v μg |

参考答案:A、煤块与传送带之间发生相对滑动,有μmg<ma,即μ<ag.故A正确.
B、传送带速度达到v时所经历的位移x1=v22a,煤块的加速度a′=μg,则煤块速度达到速度v所经历的位移x2=v22μg.煤块达到速度v所经历的时间t=vμg,传送带达到速度v时经历的时间t′=va,则传送带匀速直线运动的位移x3=v(t-t′)=v2μg-v2a,所以黑色痕迹的长度△x=x1+x3-x2=v22μg-v22a.故B错误,C正确.
D、传送带的加速度大于煤块的加速度,所以传送带先达到速度v,传送带加速时,煤块与传送带是发生相对运动的,之间的摩擦力为滑动摩擦力;传送带开始匀速运动时,煤块的速度还未达到v,两者之间具有滑动摩擦力,当两者速度相等时,摩擦力为零.故D错误.
故选AC.
本题解析:
本题难度:简单
4、填空题 一静止的物体沿光滑的斜面匀加速下滑L时,速度为v,当物体的速度为v/2时,它沿斜面下滑的长度是?.
参考答案:L/4
本题解析:根据公式
可得物体下滑L时:
,当速度为
时:
,联立解得
点评:在运用匀变速直线运动公式解题的时候,需要弄明白题中的物理量,根据题中的物理量选择合适的公式解题,比如本题不涉及时间问题,所以选择位移速度公式
,
本题难度:简单
5、选择题 甲、乙两质点在同一直线上匀速运动,设向右为正方向,甲质点的速度为2m/s,乙质点的速度为-4m/s,则下列中判断正确的是( )
A.乙质点的速率大于甲质点的速率
B.因为2>-4,所以甲质点的速度大于乙质点的速度
C.这里正负号的物理意义是表示运动的方向
D.若甲、乙两质点同时由同一点出发,则10s后甲、乙两质点相距60m
参考答案:
A、由题,甲质点的速度为2m/s,乙质点的速度为-4m/s,则甲乙的速率分别为2m/s和4m/s,所以乙质点的速率大于甲质点的速率.故A正确.
B、由上分析得知,乙质点的速率大于甲质点的速率,则乙质点的速度大于甲质点的速度.故B错误.
C、速度是矢量,在规定正方向后,其正负号表示速度的方向,即表示物体的运动方向.故C正确.
D、若甲、乙两质点同时由同一点出发,甲沿正方向运动的位移大小为x甲=v甲t=2×10m=20m,乙沿负方向运动的位移大小为x乙=v乙t=4×10m=40m,则10s后甲、乙两质点相距60m.
故选ACD
本题解析:
本题难度:一般