时间:2019-05-21 05:06:11
1、填空题 “大洋一号”是我国首次组织的横跨三大洋的远洋考察船,在航行过程中,海洋工作者可以根据水流切割地磁场所产生的感应电动势来测定海水的速度.假设海洋某处的地磁场竖直分量为B=0.5×10-4T,水流是南北流向,如图所示,将两个电极竖直插入此处海水中,且保持两极极板平行于水流方向.若两电极距离L="10m" ,与两电极相连的灵敏电压表读数U=0.2mV,则海水的流速大小为?m/s.
参考答案:0.4m/s
本题解析:正负离子随海水流动,受到洛伦兹力,正负离子向东西侧极板偏转,两极板间形成电场,最终正负离子受电场力和洛伦兹力处于平衡,由
可得
点评:解决本题的关键知道海水南北流向流动时,正负离子与海水流动方向相同,受到洛伦兹力向东西方向偏转,打在两极板上,在两极板间形成电场,最终正负离子受电场力和洛伦兹力处于平衡。
本题难度:简单
2、计算题 (18分)如图所示,相距为d、板间电压为U的平行金属板M、N间有垂直纸面向里、磁感应强度为B0的匀强磁场;在POy区域内有垂直纸面向外、磁感应强度为B的匀强磁场;POx区域为无场区.一正离子沿平行于金属板、垂直磁场射入两板间并做匀速直线运动,从H(0,a)点垂直y轴进入第Ⅰ象限.
(1)求离子在平行金属板间的运动速度;
(2)若离子经OP上某点离开磁场,最后垂直x轴离开第Ⅰ象限,求离子在第Ⅰ象限磁场区域的运动时间;
(3)要使离子一定能打在x轴上,则离子的荷质比
应满足什么条件?
参考答案:(1)
(2)
(3)
本题解析:(1)粒子在平行板内做匀速直线运动,有
,又
,
解得离子在平行板内的速度为:
(2)如图为离子在第一象限内的运动轨迹图,由几何关系可得,轨迹半径为
轨迹对应的圆心角为
;运动的周期为:
运动时间为:

(3)要使粒子一定能打到x轴上,离子在磁场中运动的最小半径为r2,由几何关系 
解得:
;
由
?可得:
,
即

本题难度:一般
3、计算题 如图所示:在真空中,有一半径为r的圆形区域内充满垂直纸面向里的匀强磁场,磁感应强度为B,一带电粒子质量为m,电量为q,以某一速度由a点沿半径方向射入磁场,从c点射出磁场时其速度方向改变了60度,(粒子的重力可忽略)试求
(1)该粒子在磁场中运动时间t
(2)粒子做圆周运动的半径R
(3)粒子运动的速度
参考答案:(1)
(2)
(3)
本题解析:设圆周运动半径为R
(1)粒子做匀速圆周运动,洛伦兹力提供向心力
即
而
由上述公式有
则粒子运动时间
(2)由几何关系有
(3)由(1)得
点评:本题难度较小,由于洛伦兹力提供向心力,所以粒子做的是匀速圆周运动,处理的步骤是:先找圆心、后求半径,必要的时候要借助几何关系求解
本题难度:一般
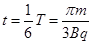
4、选择题 如图15-5-14是某离子速度选择器的原理示意图,在一半径为R="10" cm的圆柱形桶内有B=10-4 T的匀强磁场,方向平行于轴线.在圆柱桶某一直径两端开有小孔,作为入射孔和出射孔.离子束以不同角度入射,最后有不同速度的离子束射出.现有一离子源发射比荷为
=2×1011 C/kg的阳离子,且离子束中速度分布连续.当角θ=45°时,出射离子速度v的大小是(? )
图15-5-14
A.
×106 m/s
B.
×106 m/s
C.
×108 m/s
D.
×106 m/s
参考答案:B
本题解析:因是阳离子,即带正电,由左手定则可判断出能从出射孔射出的离子运动轨迹如图中虚线所示.轨迹圆心为图中的O′,由题设θ=45°,所以轨迹圆弧对应的圆心角为90°,圆周运动的半径r=
×2R=
?m
由r=
得:v=
×10-4×2×1011 m/s=
×106 m/s.
本题难度:简单
5、选择题 如图所示,一根通有电流I1的固定长直导线在通有电流I2的矩形线圈的平面内,线圈将会出现( )
A.远离导线运动
B.向着导线平动
C.绕轴OO′运动
D.绕轴NN′运动
参考答案:根据右手螺旋定则,通电电流I1的下方有垂直纸面向里的磁场,左右两边受到的安培力大小相等方向相反,根据左手定则,线圈的上边所受的安培力方向向上,下边所受的安培力方向向下,因为越靠近电流,磁场越强,根据F=BIL,知上边受到的安培力大于下边所受的安培力,则线圈向着导线平动.故B正确,A、C、D错误.
故选B.
本题解析:
本题难度:一般