时间:2019-05-21 05:05:30
1、选择题
| 驱动频率/Hz | 30 | 40 | 50 | 60 | 70 | 80 |
| 受迫振动振幅/cm | 10.2 | 16.8 | 27.2 | 28.1 | 16.5 | 8.3 A.f固="60" Hz B.50 Hz<f固<60 Hz C.50 Hz≤f固≤60 Hz D.以上答案都不对 |

受迫振动:
1.概念:振动系统在周期性的外力(驱动力)作用下的振动叫做受迫振动
2.频率:
如果振动系统不受外力作用,此时的振动叫做固有振动,其振动的频率称为固有频率
物体做受迫振动时,振动稳定后的频率等于驱动力的频率,跟系统的固有频率无关
3.振幅:直观地反映物体做受迫振动的振幅A与驱动力频率f的关系,即当驱动力的频率f偏离固有频率f0较大时,受迫振动的振幅A较小;当驱动力的频率,等于固有频率f0时,受迫振动的振幅A最大
4.能量:受迫振动不是系统内部动能和势能的转化,而是与外界时刻进行的能量交换,系统的机械能也时刻变化
| 试题ID | 试题题文 |
|---|
参考答案:D
本题解析:在记录的数据中60 Hz时振幅最大,但这不一定就是实际中的最大振幅,故A错。只能确定驱动频率在50 Hz—70 Hz范围内,存在振幅最大的状态,因此BC也不对。
本题难度:简单
2、实验题 几名学生进行野外考察,登上一山峰后,他们想粗略测出山顶处的重力加速度。于是他们用细线拴好石块P系在树枝上做成一个简易单摆,如图所示。然后用随身携带的钢卷尺、电子手表进行了测量。同学们首先测出摆长L,然后将石块拉开一个小角度,由静止释放,使石块在竖直平面内摆动,用手表测出单摆振动的周期T。
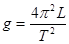
(1)用摆长L和周期T计算重力加速度的公式是g=__________
(2)在测量摆动的周期时,甲同学从石块某次通过平衡位置时开始计时,数出以后石块通过平衡位置的次数n,用手表测出所用的时间t;乙同学从小钢球某次通过平衡位置时开始计时,并将这次通过平衡位置时记为1,将小钢球第二次沿同一方向通过平衡位置时记为2,第三次沿同一方向通过平衡位置时记为3,以此类推,一直数到
,同时停表, 手表显示时间为
。你选择哪位同学的实验方法,并写出对应的单摆的周期表达式:_________。
(3)若振动周期测量正确,但由于难以确定石块重心,测量摆长时只测量了悬线长做为摆长,所以用这次测量数据计算出来的山顶处重力加速度值比真实值??(选填“偏大”、“偏小”或“相等”)。
参考答案:(1)
?(2分)?(2)甲:
?或乙:
?(2分)
(3)偏小
本题解析:(1)根据单摆周期计算公式,
,用摆长L和周期T计算重力加速度的公式是
,
(2)甲同学:每次小球到平衡位置数数,则n次即为
个周期,所以时间t内的完成
个周期,则周期为
,
(3) 测量摆长时只测量了悬线长做为摆长,则摆长偏小,所以用这次测量数据计算出来的山顶处重力加速度值比真实值偏小
本题难度:一般
3、计算题 如图所示,铁道上每根钢轨长12.5 m,若支持车厢的弹簧和车厢组成的系统周期为0.6 s,求车厢振动的最厉害时列车的行驶速度.
参考答案:20.8 m/s
本题解析:本题应用共振产生的条件来求解.火车行驶时,每当通过铁轨的接缝处就受到一次冲击力,该力即为驱动力.当驱动力周期和车厢与弹簧的固有周期相等时,即发生共振,车厢振动得最厉害.车厢振动最厉害时发生共振,由共振条件得T驱=T固=0.6 s?①
又T驱=
?②
将①式代入②,解得v=
=
m/s=20.8 m/s.
本题难度:简单
4、简答题 [物理选修-3-4]
(1)某振动系统的固有频率为f0,在周期性驱动力的作用下做受迫振动,驱动力的频率为f.若驱动力的振幅保持不变,下列说法正确的是______(填入选项前的字母,有填错的不得分)
A.当f<f0时,该振动系统的振幅堕f增大而减小
B.当f<f0时,该振动系统的振幅随f减小而增大
C.该振动系统的振动稳定后,振动的频率等于f0
D.该振动系统的振动稳定后,振动的频率等于f
(2)一棱镜的截面为直角三角形ABC,∠A=30°,斜边AB=a.棱镜材料的折射率为n=
| 2 |

参考答案:(1)A、当f=f0时,系统达到共振,振幅最大,故f<f0时,随f增大,振幅振大,f减小,振幅减小.故A错误、B错误;
C、该振动系统的振动稳定后,振动的频率等于驱动力的频率,故C错误;
D、系统的振动稳定后,系统的振动频率等于驱动力的频率,故振动频率等于f,故D正确
故选D.
(2)设入射角为i,折射角为r,由折射定律得:sinisinr=n…①
解得:r=30°…②
①如果入射光线在法线的右侧,根据几何知识得知,光线与AB垂直,光路图如图所示.设出射点F,由几何关系得:AF=38a…③
即出射点在AB边上离A点38a的位置.
②如果入射光线在法线的左侧,光路图如图所示.设折射光线与AB的交点为D.
由几何关系可知,在D点的入射角:θ=60°…④
设全反射的临界角为C,则:sinC=1n…⑤
由⑤和已知条件得:C=45°…⑥
因此,光在D点全反射.
设此光线的出射点为E,由几何关系得∠DEB=90°
BD=a-2AF…⑦
BE=DBsin30°…⑧
联立③⑦⑧式得:BE=18a
即出射点在BC边上离B点18a的位置.
答:如果入射光线在法线的右侧,出射点在AB边上离A点3a8的位置.如果入射光线在法线的左侧,出射点在BC边上离B点18a的位置.光路图如图所示.
本题解析:
本题难度:一般
5、选择题 下列说法中正确的是(?)
A.简谐运动是等幅振动
B.简谐运动是阻尼振动
C.阻尼振动一定是减幅振动
D.物体做阻尼振动时,随着振幅的减小,频率也不断减小
参考答案:AC
本题解析:简谐运动一定是对称的,必然是等幅的.A正确,B错误.C项中,阻尼振动就是减幅振动,C正确.
D项中,由于阻尼作用能量转化,振幅减小,但由于振动的等时性(惠更斯原理)周期、频率不改变.故D错误.
本题难度:简单