时间:2019-05-21 05:02:28
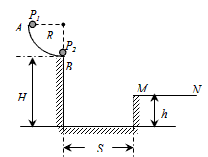
1、计算题 如图所示,凹槽的水平底面宽度s=0.3m,左侧高度H=0.45m,右侧高度h=0.25m。凹槽的左侧竖直面与半径R=0.2m的1/4光滑圆弧轨道相接,A和B分别是圆弧的端点,右侧竖直面与水平面MN相接。小球P1静止从A点沿圆弧轨道滑下,与静置于B点的小球P2发生弹性碰撞。P2的质量m=1kg,P1的质量是P2质量的k倍。已知重力加速度g=10m/s2,不计空气阻力。
(1)求小球P1从圆弧轨道滑至B点时的速度大小;
(2)若小球P2碰撞后第一落点在M点,求碰撞后P2的速度大小;
(3)设小球P2的第一落点与凹槽左侧竖直面的水平距离为x,试求x的表达式。 
参考答案:
解:(1)P1从A点滑至B点过程中,根据动能定理有:
解得在B点的速度
=2m/s
(2)小球P2从B点到M点,根据平抛运动规律有:
得下落时间
由
解得小球P1从C点抛出时的速度
=1.5m/s
(3)根据动量守恒定律有:
根据能量守恒有:
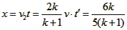
解得:
①若P2落在MN水平面,则
解得
即当
时,
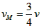
②当P2落在凹槽底面时,落地时间
最大抛出速度
所以若P2落在凹槽底面时,则
,解得
即当
时,
③当
时,P2落在右侧竖直面上,故
。
本题解析:
本题难度:困难
2、选择题 甲乙两船自身质量为120 kg,都静止在静水中,当一个质量为30 kg的小孩以相对于地面6 m/s的水平速度从甲船跳上乙船时,不计阻力,甲、乙两船速度大小之比
[? ]
A.4:5?
B.5:4?
C.2:3?
D.3:2
参考答案:B
本题解析:
本题难度:一般
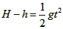
3、简答题 如图所示,上下表面均光滑的质量为M=3kg的滑板B静止放在光滑水平面上,其右端固定一根轻质弹簧,质量为m=2kg的小木块A,以速度vo=10m/s由滑板B左端开始沿滑板B上表面向右运动.求:
I.弹簧被压缩到最短时木块A的速度大小;
II.木块A离开滑板B时A、B的速度大小.
参考答案:Ⅰ、木块与滑板组成的系统动量守恒,以木块的初速度方向为正方向,
从木块滑上滑板到两者速度相等的过程中,
由动量守恒定律得:mv0=(M+m)v,解得:v=4m/s;
Ⅱ、木块与滑板组成的系统动量守恒,在木块离开滑板的整个过程中,系统动量守恒,
以木块的初速度方向为正方向,由动量守恒定律得:mv0=mv1+Mv2,
由机械能守恒定律得:12mv02=12mv12+12Mv22,
解得:v1=-2m/s,v2=8m/s,负号表示方向与正方向相反,向左;
答:I、弹簧被压缩到最短时木块A的速度大小为4m/s;
II.木块A离开滑板B时A、B的速度大小分别为2m/s、8m/s.
本题解析:
本题难度:一般
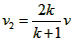
4、填空题 如图所示“为探究碰撞中的不变量”的实验装置示意图.
(1)本实验中,实验必须要求的条件是______
A.斜槽轨道必须是光滑的
B.斜槽轨道末端点的切线是水平的
C.入射小球每次都从斜槽上的同一位置无初速释放
D.入射球与被碰球满足ma>mb,ra=rb
(2)如图,其中M、P、N分别为入射球与被碰球对应的落点的平均位置,则实验中要验证的关系是______
A.ma?ON=ma?OP+mb?OM
B.ma?OP=ma?ON+mb?OM
C.ma?OP=ma?OM+mb?ON
D.ma?OM=ma?OP+mb?ON.
参考答案:(1)A、“验证动量守恒定律”的实验中,是通过平抛运动的基本规律求解碰撞前后的速度的,只要离开轨道后做平抛运动,对斜槽是否光滑没有要求,故A错误;
B、要保证每次小球都做平抛运动,则轨道的末端必须水平,故B正确;
C、要保证碰撞前的速度相同,所以入射球每次都要从同一高度由静止滚下,故C正确;
D、为了保证小球碰撞为对心正碰,且碰后不反弹,要求ma>mb,ra=rb,故D正确.
故选BCD.
(2)要验证动量守恒定律定律即:mav0=mav1+mbv2
小球做平抛运动,根据平抛运动规律可知根据两小球运动的时间相同,上式可转换为:
mav0t=mav1t+mbv2t
故需验证maOP=maOM+mbON,因此ABD错误,C正确.
故选C.
本题解析:
本题难度:一般
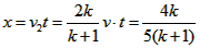
5、选择题 (5分)、如下图所示,质量为M的盒子放在光滑的水平面上,盒子内表面不光滑,盒内放有一块质量为m的物体.从某一时刻起给m一个水平向右的初速度v0,那么在物块与盒子前后壁多次往复碰撞后(?)
A.两者的速度均为零
B.两者的速度总不会相等
C.车的最终速度为mv0/M,向右
D.车的最终速度为mv0/(M+m),向右
参考答案:D
本题解析:根据动量守恒,物块与盒子前后壁多次往复碰撞,最后以相同的速度向右运动,
?所以:
?,选项D正确。
本题难度:一般