时间:2019-05-21 04:37:31
1、实验题 在“探究小车速度随时间变化的规律”的实验中,打点计时器使用的交流电的频率为50 Hz,某次实验纸带的记录如图所示,图中前几个点模糊,因此从A点开始每打5个点取1个计数点,各计数点到O点的位移如图,则小车通过D点时速度为________m/s. 
参考答案:2.48
本题解析:通过交流电的频率可知打点计时器每0.02秒打一个点,计数点间的时间间隔为t=0.02×5=0.1s,分别计算各段的平均速度
,
,
,
,
;再计算各段平均速度的变化量
,ab段与bc段
=1.549-0.931=0.618,bc段与cd段
=2.175-1.549=0.626,de段与cd段
=2.778-2.175=0.603,由于各段平均速度的变化量
均发生在0.1s的时间间隔内,即各段单位时间内速度的变化量相等、换句话说就是加速度相等(即物体做匀加速运动),故可以用匀加速运动平均速度的计算公式
,来计算D点的速度(v0、v1分别代表d点前后计时段的平均速度)。按实验测量精度要求保留两位得小车通过D点时速度为2.48m/s
考点:本题考查学生对实验数据分析处理的能力
本题难度:一般
2、计算题 一块足够长的白板,位于水平桌面上,处于静止状态,一石墨块(可视为质点)静止在白板上,石墨块与白板间有摩擦,滑动摩擦系数μ=0.1。突然,使白板以恒定的加速度a1=2m/s2做匀加速直线运动,石墨块将在板上划下黑色痕迹,经过时间t=1s,令白板以
m/s2的加速度做匀减速直线运动直至静止。试求白板上黑色痕迹的长度(已知重力加速度为g=10m/s2,不计石墨与板摩擦划痕过程中损失的质量)。
参考答案:解:设石墨块的加速度为a2 ,根据牛顿第二定律,得
=1m/s2 ①
设经历时间t=1s,白板由静止开始加速到速度v1,石墨块则由静止加速到v2,有
?②,
③
由
,故
,石墨块继续受到滑动摩擦力的作用
设再经时间t",白板的速度由v1减小到v1",有
④
石墨块的速度由v2增加到v2",有
⑤
当v1"=v2"后,即
,不再产生新的痕迹,然后两者共同减速运动至停止
设白板的速度从0增加到v1的过程中,白板和石墨块移动的距离分别为s1和s2
?⑥,
⑦
在白板的速度从v1减小到v1"的过程中,白板和石墨块移动的距离分别为s1"和s2"
?⑧,
⑨
传送带上留下的黑色痕迹的长度
⑩
由以上各式得
本题解析:
本题难度:困难
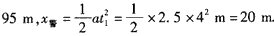
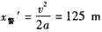
3、计算题 以18m/s的速度行驶的汽车,紧急刹车后做匀减速直线运动,其加速度大小为2m/s2.求:
(1)汽车在刹车后2s末的速度大小;
(2)汽车在刹车后10s内的位移大小;
(3)汽车停止前最后2s内的位移大小。
参考答案:(1)14m/s(2)81m(3)4m
本题解析:(1)
(2)

(3)
点评:在解决汽车刹车问题时,一定要结合实际,考虑汽车速度为零所用的时间
本题难度:一般
4、填空题 2007年10月24日,中国用长征运载火箭成功地发射了“嫦娥1号”卫星.如图是某监测系统每隔2.5s拍摄的,关于起始匀加速阶段火箭的一组照片.已知火箭的长度为40m,用刻度尺测量照片上的长度关系,结果如图所示.火箭的加速度大小a=______m/s2,火箭在照片中第2个像所对应时刻的瞬时速度大小v=______m/s.
参考答案:根据火箭的长度为40m,按比例确定出火箭第1个像与第2个像间的位移大小x1=80m,火箭第2个像与第3个像间的位移大小x2=130m,由△x=aT2,得a=△xT2=x2-x1T2=130-802.52m/s2=8m/s2.
第2个像所对应时刻的瞬时速度大小等于第1个像与第3个像间的平均速度,则v=x1+x22T=42m/s.
故答案为:8;42
本题解析:
本题难度:一般
5、选择题 磕头虫是一种不用足跳但又善于跳高的小甲虫。当它腹朝天、背朝地躺在地面时,将头用力向后仰,拱起体背,在身下形成一个三角形空区,然后猛然收缩体内背纵肌,使身体重心迅速向下加速,背部猛烈撞击地面,地面的反作用力便将其弹向空中。弹射录像显示,磕头虫拱背后重心向下加速(视为匀加速)的距离大约为0.8mm,弹射最大高度为24cm。那么嗑头虫向下的加速度大小为 (空气阻力不计,设磕头虫撞击地面和弹起的速率相等)( )
A.3000m/s2
B.750m/s2
C.1500m/s2
D.75m/s2
参考答案:A
本题解析:设磕头虫向下的加速度为a,磕头虫向下的最大速度为v,则有v2=2ah1
磕头虫向上弹起的过程中有 -v2=-2gh2
联立以上两式可得
3000m/s2,故选:A
考点:匀变速直线运动的规律的应用.
本题难度:一般