时间:2019-05-21 04:31:10
1、选择题 一物体做匀减速直线运动,初速度为10m/s,加速度大小为1m/s2,则物体在停止运动前1s内的平均速度为
[? ]
参考答案:D
本题解析:
本题难度:一般
2、选择题 做匀加速直线运动的物体,依次通过A、B、C三点,位移sAB=sBC,已知物体在AB段的平均速度为3 m/s,在BC段的平均速度为6 m/s,则物体在B点的瞬时速度为( )
A.4 m/s B.4.5 m/s C.5 m/s D.5.5 m/s
参考答案:C
本题解析:物体运动示意图如图所示,设物体在A、B、C三点的瞬时速度分别为va、vb、vc,则:
="3 " ①
=
="6 " ②
=
③
联立①②③解得vB="5" m/s.
本题难度:一般
3、计算题 从斜面上某位置,每隔0.1s释放一个小球,小球在斜面上做匀加速直线运动。在连续释放几个后,对在斜面上的小球拍下照片,如图所示,测得xAB=15cm,xBC=20cm。试求:
(1)小球的加速度;
(2)拍摄时B球的速度vB;
(3)拍摄时CD段的长度xCD;
(4)A球上面正滚动的小球还有几个? 
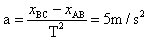
参考答案:解:(1)由
,得小球的加速度为
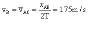
(2)B点速度等于AC段的平均速度
?
(3)匀变速直线运动相邻相等时间内的位移差恒定,即xCD-xBC= xBC-xAB
∴xCD=2xBC-xAB=0.25m
(4)由vB=vA+at 得vA=vB-at=1.25m/s
所以A球运动的时间为tA=
=0.25s
故A球上方正滚动的小球还有两个
本题解析:
本题难度:一般
4、填空题 某物体的初速度为2m/s,在4 s的时间内速度均匀增大到6m/s,那么该物体的加速度是________ m/s2 ,在这段时间内发生的位移x为?m.
参考答案:1? 16
本题解析:根据
可知,加速度为1m/s2。根据
可知,4s内通过的位移为
。
点评:本题考查了匀变速直线运动规律的推论。通过匀变速公式,比较容易得到结果。
本题难度:简单
5、选择题 物体做匀减速直线运动,经过3s后停止运动,那么在这3个连续的1s内,汽车通过的位移之比x1:x2:x3为
[? ]
A.1: 3:5
B.5:3:1
C.1:2:3
D.3:2:1
参考答案:B
本题解析:
本题难度:简单