时间:2019-05-21 03:59:16
1、选择题 如图所示,金属棒MN,在竖直放置的两根平行导轨上无摩擦地下滑,导轨间串联一个电阻,磁感强度垂直于导轨平面,金属棒和导轨的电阻不计,设MN下落过程中,电阻R上消耗的最大功率为P,要使R消耗的电功率增大到4P,可采取的方法是( )
A.使MN的质量增大到原来的2倍
B.使磁感强度B增大到原来的2倍
C.使MN和导轨间距同时增大到原来的2倍
D.使电阻R的阻值减到原来的一半
参考答案:A
本题解析:当金属棒做匀速直线运动时,金属棒消耗的功率最大,此时有:mg=
.
A、当MN的质量增大到原来的2倍,则v增大到原来的2倍,根据能量守恒定律,电阻R上消耗的功率等于重力的功率,P=mgv知,则使R消耗的电功率增大到4P。故A正确。
B、使磁感强度B增大到原来的2倍,则速度变为原来的
,根据P=mgv知,电功率变为原来的
。故B错误。
C、使MN和导轨间距同时增大到原来的2倍。则速度变为原来的
,根据P=mgv知,电功率变为原来的
。故C错误。
D、使电阻R的阻值减到原来的一半,则速度变为原来的
,根据P=mgv知,电功率变为原来的
。故D错误。
故选A。
本题难度:一般
2、简答题 如图所示,矩形线框的质量m=0.016kg,长L=0.5m,宽d=0.1m,电阻R=0.1Ω.从离磁场区域高h1=5m处自由下落,刚入匀强磁场时,由于磁场力作用,线框正好作匀速运动.
(1)求磁场的磁感应强度;
(2)如果线框下边通过磁场所经历的时间为△t=0.15s,求磁场区域的高度h2.
参考答案:(1)线框做自由落体运动过程,则有v=
本题解析:
本题难度:一般
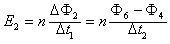
3、计算题 如图甲所示,在一个正方形金属线圈区域内,存在着磁感应强度B随时间变化的匀强磁场,磁场的方向与线圈平面垂直,金属线圈所围的面积S=200 cm2,匝数n=1 000,线圈电阻r=1.0 Ω。线圈与电阻R构成闭合回路,电阻R=4.0Ω。匀强磁场的磁感应强度随时间变化的情况如图乙所示,求:
(1)在t=2.0s时刻,通过电阻R的感应电流大小;
(2)在t=5.0 s时刻,电阻R消耗的电功率;
(3)0~6.0 s内整个闭合电路中产生的热量。

参考答案:解:(1)根据法拉第电磁感应定律,0~4.0s时间内线圈中磁通量均匀变化,产生恒定的感应电流
t1=2.0s时的感应电动势
根据闭合电路欧姆定律,闭合回路中的感应电流
解得I1=0.2 A
(2)由图象可知,在4.0~6.0s时间内,线圈中产生的感应电动势
根据闭合电路欧姆定律,t2=5.0 s时闭合回路中的感应电流
电阻消耗的电功率P2=I22R=2.56 W
(3)根据焦耳定律,0~4.0s内闭合电路中产生的热量
4.0~6.0s内闭合电路中产生的热量
0~6.0s内闭合电路中产生的热量Q=Q1+Q2=7.2 J
本题解析:
本题难度:困难
4、选择题 如图所示,一导线弯成半径为a的半圆形闭合回路。虚线MN右侧有磁感应强度为B的匀强磁场。方向垂直于回路所在的平面。回路以速度v向右匀速进入磁场,直径C始终与MN垂直。从D点到达边界开始到C点进入磁场为止,下列结论不正确的是?
[? ]
A.感应电流方向不变?
B.CD段直线始终不受安培力?
C.感应电动势最大值E=Bav?
D.感应电动势平均值
参考答案:D
本题解析:
本题难度:一般
5、简答题 如图各情况中,电阻R=0.lΩ,运动导线的长度都为l=0.05m,作匀速运动的速度都为v=10m/s.除电阻R外,其余各部分电阻均不计.匀强磁场的磁感强度B=0.3T.试计算各情况中通过每个电阻R的电流大小和方向.
参考答案:根据法拉第电磁感应定律得,每个金属棒上的产生的感应电动势:E=BLv=0.3×0.05×10V=0.15V
(a)由于两根金属棒产生的电动势的方向相同,电动势并联,电路中的总电动势为0,所以电流是0;
(b)由于两根金属棒产生的电动势的方向左侧向上,右侧向下,电动势串联,电路中的总电动势为2×0.15=0.30V,所以电流是Ib=0.300.1A=3A,方向从左向右;
(c)R,R并联,电阻两端的电压都是0.15V,所以电流都是:Ic=ER=0.150.1A=1.5A,方向从上向下;
(d)R与R并联后与金属棒的电阻串联,则电路中的总电阻:r总=12R+R=32R=32×0.1Ω=0.15Ω
流过金属棒的电流:I=Er总=0.150.15A=1A
由于两个电子阻值相同,所以:Id=12I=0.5A方向都是从上向下.
答:四个图中的电流分别是:a:0;b:3A,从左向右;c:1.5A,从上向下;d:0.5A,从上向下.
本题解析:
本题难度:一般