时间:2019-03-16 03:04:36
1、选择题 如图所示是一个玩具陀螺,a、b和c是陀螺表面上的三个点,当陀螺绕垂直于地面的轴线以角速度ω稳定旋转时,下列表述正确的是( ? )

参考答案:D
本题解析:
本题难度:简单
2、计算题 某同学设计了一个测定圆周运动角速度的实验在如图所示的装置中,利用喷漆桶能够向外喷射速度一定的油漆(喷射速度v0可选择不同值且为已知),一个直径为D=40cm的纸带环,安放在一个可以按照一定转速转动的固定转台上,纸带环上刻有一个条狭缝A,在狭缝A的正对面画一条标志线。零滴所受的空气阻力极小,可忽略在转台开始转动达到稳定转速时,向侧面同样开有狭缝B的纸盒中喷射油漆滴,当狭缝A转至与狭缝B正对平行时,雾滴便通过狭缝A在纸带的内侧面留下痕迹。改变喷射速度重复实验,在纸带上留下一系列的痕迹a、b、c、d。将纸带从转台上取下来,展开平放,如图甲所示。已知
,请你帮该同学完成下列任务:
? 
(1)设喷射到纸带上的油漆雾滴痕迹到标志线的距离为s,则从图可知,在a、b、c、d四个点中速度最大的雾滴到标志线的距离s1=_________cm;
(2)若雾滴喷射速度为v0,试求解转台转动的角速度
为多少?(用字母表示)
(3)若以纵坐标表示雾滴速度v0、横坐标表示雾滴距标志线距离的倒数1/s,画出v0-1/s图线如图乙所示,试计算转台转动的角速度
值。
参考答案:解:(1)s1=0.70cm
(2)若雾滴喷射速度为v0,则雾滴运动时间为
而转台转动转过角度为
根据纸带长度对应圆弧弧长的关系知:
得
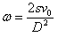
(3)
或者
本题解析:
本题难度:困难
3、选择题 电风扇的扇叶的重心如果不在转轴上,转动时会使风扇抖动,并加速转轴磨损。调整时,可在扇叶的一区域通过固定小金属块的办法改变其重心位置。如图所示,A、B是两调整重心的金属块(可视为质点),其质量相等,它们到转轴O的距离rA<rB。扇叶转动后,它们的(? )
A.向心力FA<FB? B.线速度大小相等
C.向心加速度相等? D.角速度大小相等
参考答案:AD
本题解析:因为A、B两调整重心的金属块固定在风扇上,因此两者绕轴O一起转动,具有了相同的角速度,故选项D正确;根据描述圆周运动的参量间关系a=rω2,v=rω,F=mrω2及rA<rB,mA=mB可知:aA<aB,vA<vB,FA<FB,故选项A正确;选项B、C错误。
本题难度:一般
4、选择题 如图所示的皮带传动装置中,轮B和C同轴,A、B、C分别是三个轮边缘的质点,且其半径RA=RC=2RB,则三质点的向心加速度之比aA:aB:aC等于( )
A.4:2:1
B.2:1:2
C.1:2:4
D.4:1:4
参考答案:由于B轮和A轮是皮带传动,皮带传动的特点是两轮与皮带接触点的线速度的大小与皮带的线速度大小相同,
故vA=vB,
∴vB:vA=1:1
由于C轮和B轮共轴,故两轮角速度相同,
即ωC=ωB,
故ωC:ωB=1:1
由角速度和线速度的关系式v=ωR可得
vC:vB=RC:RB=2:1
∴vA:vB:vC=1:1:2
又因为RA=RC=2RB
根据a=v2R 得:
aA:aB:aC=1:2:4
故选C.
本题解析:
本题难度:一般
5、选择题 如图所示的皮带传动装置中,轮B和C同轴,A、B、C分别是三个轮边缘的质点,且其半径RA=RC=2RB,则三质点的向心加速度之比aA:aB:aC等于( )
A.4:2:1
B.2:1:2
C.1:2:4
D.4:1:4
参考答案:由于B轮和A轮是皮带传动,皮带传动的特点是两轮与皮带接触点的线速度的大小与皮带的线速度大小相同,
故vA=vB,
∴vB:vA=1:1
由于C轮和B轮共轴,故两轮角速度相同,
即ωC=ωB,
故ωC:ωB=1:1
由角速度和线速度的关系式v=ωR可得
vC:vB=RC:RB=2:1
∴vA:vB:vC=1:1:2
又因为RA=RC=2RB
根据a=v2R 得:
aA:aB:aC=1:2:4
故选C.
本题解析:
本题难度:一般