高中物理知识点总结《单摆》考点巩固(2019年最新版)(五)

时间:2019-03-16 02:35:24

微信搜索关注"91考试网"公众号,领30元,获取事业编教师公务员等考试资料40G

1、填空题  已知地面重力加速度大约是月面重力加速度的6倍。那么一台地面上的秒摆(运动周期为2.0秒)在月面上的运动周期约为?秒。(结果保留两位有效数字)


参考答案:4.8~5.0


本题解析:由周期公式可知在地球表面秒摆摆长为1m,在月球表面周期为


本题难度:简单



2、实验题  (1)对于分子动理论和物体的内能理解,下列说法正确的是
A.液体表面的分子间距较大,所以表现为引力,液体表面有收缩的趋势
B.用力拉铁棒的两端,铁棒没有断,这是分子间存在吸引力的宏观表现
C.理想气体在状态变化时,温度升高,气体分子的平均动能增大,气体的压强也一定增大
D.当分子间的引力和斥力平衡时,分子势能最小
(2)如图所示P-V图,一定质量的理想气体由状态A经过程Ⅰ变至状态B时,从外界吸收热量420J同时膨胀对外做功300J.当气体从状态B经过程Ⅱ回到状态A时,外界压缩气体做功200J,求此过程中气体____________(填“吸收”或“放出”)热量为_________J
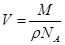
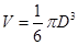
(3)某同学在进行“用油膜法估测分子的大小”的实验前,查阅数据手册得知:油酸的摩尔质量M=0.283kg·mol-1,密度ρ=0.895×103kg·m-3.若100滴油酸的体积为1ml,则1滴油酸所能形成的单分子油膜的面积约是多少?(取NA=6.02×1023mol-1.球的体积V与直径D的关系为,结果保留一位有效数字)

12-2.(12分)(供选学3-4模块的考生做)
(1)以下是有关波动和相对论内容的若干叙述,其中正确的有(?)
A.光速不变原理是:真空中的光速在不同的惯性参考系中都是相同的
B.两列波相叠加产生干涉现象,则振动加强区域与减弱区域交替变化
C.光的偏振现象说明光波是横波
D.夜视仪器能在较冷的背景上探测出较热物体的红外辐射
(2)一束光从空气射向折射率为的某种介质,若反射光线与折射光线垂直,则入射角为__________。真空中的光速为c ,则光在该介质中的传播速度为________________ .
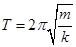
(3)将一劲度系数为K的轻质弹簧竖直悬挂,下端系上质量为m的物块,将物块向下拉离平衡位置后松开,物块上下做简谐运动,其振动周期恰好等于以物块平衡时弹簧的伸长量为摆长的单摆周期.请由单摆周期公式推算出物块做简谐运动的周期T.


参考答案:12、3-3(1)ABD (2)放出320J (3)一个油酸分子的体积由球的体积和直径的关系得分子直径最大面积,解得S
3-4(1)ACD (2)60o,(3)单摆周期公式,且
解得


本题解析:
解:12、3-3(1)A.液体表面的分子间距较大,引力大于斥力,所以表现为引力,液体表面有收缩的趋势,故A正确.
B.用力拉铁棒的两端,铁棒没有断,是分子间存在吸引力的宏观表现,故B正确.
C.理想气体在状态变化时,温度升高,气体分子的平均动能增大,但是气体的体积变化情况未知,即单位体积内的分子个数不一定是增加还是减小,所以压强不一定增大,故C错误.
D.分子间的引力和斥力平衡时,是分子势能最小的位置,故D正确.
(2)从外界吸收热量420J即Q=420J,同时膨胀对外做功300J即W=-300J
由热力学第一定律△U=W+Q
对第一过程:△U=W+Q=-300J+420J=120J
所以A点比B点内能小120J
对第二过程:外界压缩气体做功200J即W=200J,△U="-120J"
由热力学第一定律△U=W+Q
解得:Q=-320,所以放出320J的热量.
(3)一个油酸分子的体积 V=由球的体积与直径的关系得分子直径D==,最大面积 S=1×101m2
3-4:(1)A、相对论基本原理是:光速不变原理是:真空中的光速在不同的惯性参考系中都是相同的.故A正确.
B、两列波相叠加产生干涉现象,振动加强区域与减弱区域相互间隔,振动加强的区域始终加强.振动减弱的区域始终减弱.故B错误.
C、只有横波才能产生光的偏振现象,所以光的偏振现象能说明光波是横波.故C正确.
D、夜视仪器能在较冷的背景上探测出较热物体的红外辐射.故D正确.
(2)设入射角为i,由题:反射光线与折射光线垂直,则折射角r=90°-i,由折射定律得,n=,代入解得:i=60°光在该介质中的传播速度为:v==c.
(3)单摆周期公式:T=2π,且kl=mg?解得:T=2π


本题难度:一般



3、简答题  试问单摆在偏角很小的情况下做简谐运动?


参考答案:是


本题解析:设摆球得质量为m,摆长为,如图所示。因为摆球沿园弧运动,因此可以不考虑沿悬线方向的力,只考虑沿园弧方向的力。当摆球运动到某点P时,它的回复力就是摆球受到的重力在园弧切线方向上的分力F="mgsinθ?" (1)?
在摆角很小时,摆球对于o点的位移x的大小,与θ角所对应的弧长、θ角的弦都近似相等,因而sinθθ≈?(2)
所以单摆的回复力为F=-x?
令k=?,则有F="-Kx?" (3)
(式中负号表示回复力F与位移x的方向相反)
由此得证单摆在偏角很小的情况下做简谐运动。?(4)


本题难度:简单



4、选择题  甲、乙两单摆,甲摆在地球表面的振动周期和乙摆在月球表面的振动周期相等,已知月球表面的重力加速度是地球表面的重力加速度的1/6,则甲、乙两单摆的摆长之比L甲:L乙等于
[? ]
A.1:6
B.6:1
C.
D.36:1


参考答案:B


本题解析:


本题难度:简单



5、简答题  如图所示,ACB为光滑弧形槽,弧形槽半径为R,R?

.
AB
.甲球从弧形槽的球心处自由落下,乙球从A点由静止释放(不计空气阻力).问:
(1)两球第1次到达C点的时间之比;
(2)若在圆弧的最低点C的正上方h处由静止释放小球甲,让其自由下落,同时乙球从圆弧左侧由静止释放,欲使甲、乙两球在圆弧最低点C处相遇,则甲球下落的高度h是多少?


参考答案:(1)甲球做自由落体运动R=12gt21
所以:t1=


本题解析:


本题难度:一般




首页 上页 4 5 6 下页 尾页 5/10/10
微信搜索关注"91考试网"公众号,领30元,获取公务员事业编教师考试资料40G
【省市县地区导航】【考试题库导航】
 ★ 高考省级导航 ★ 
全国 A安徽 B北京 C重庆 F福建 G广东 广西 甘肃 贵州 H河南 河北 湖南 湖北 黑龙江 海南 J江苏 江西 吉林 L辽宁 N内蒙古 宁夏 Q青海 S山东 山西 陕西 四川 上海 T天津 X新疆 西藏 Y云南 Z浙江
 ★ 高考信息汇总 ★ 
 ★ 高考历年真题 ★ 
 ★ 高考历年真题 ★ 
 ★ 高考题库 ★ 
 ★ 高考题库 ★ 

电脑版  |  手机版  |  返回顶部