高考物理知识点总结《匀变速直线运动》高频试题巩固(2019年最新版)(十)

时间:2019-03-16 02:23:39

微信搜索关注"91考试网"公众号,领30元,获取事业编教师公务员等考试资料40G

1、实验题  某同学在做《研究匀变速直线运动》的实验中,所用电源频率为50Hz。如图所示,取一段实验纸带,从0点开始每5个点取一个计数点,分别记为1、2、3、4,各计数点到0点的距离已在图中标出。则相邻计数点间的时间间隔为?s,小车到计数点2时的瞬时速度v2=?m/s,根据数据可求得小车的加速度a=?m/s2。(结果保留2位有效数字)



2、选择题  汽车以10m/s的速度行驶,若以2m/s2的加速度刹车,则前进24m经历的时间为(  )
A.6s
B.5s
C.4s
D.2s



3、计算题  (12分)一个小球从斜面顶端无初速度匀加速下滑,接着又在水平面上做匀减速运动,直至停止,它共运动了10 s,斜面长4 m,在水平面上运动的距离为6 m.求:
(1)小球在运动过程中的最大速度的大小.
(2)小球在斜面和水平面上运动的加速度的大小.



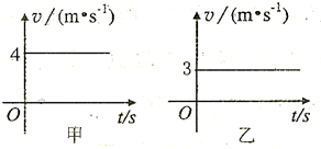
4、选择题  一快艇从离岸边100m远的河中向岸边行驶,已知快艇在静水中的速度图象如图甲所示,河水流动的速度图象如图乙所示,则(  )
A.快艇的运动轨迹一定为直线
B.快艇的运动轨迹可能为曲线,也可能为直线
C.快艇到达岸边的最短时间为20s
D.快艇以最短时间过河时经过的位移为100m
91考试网



5、填空题  一辆轿车以12m/s的速度行驶,快到目的地时开始刹车,作匀减速直线运动,加速度大小为2m/s2,则该车刹车后8s内车滑行的位移______m..




首页 上页 9 10 下页 尾页 10/10/10
微信搜索关注"91考试网"公众号,领30元,获取公务员事业编教师考试资料40G
【省市县地区导航】【考试题库导航】
 ★ 高考省级导航 ★ 
全国 A安徽 B北京 C重庆 F福建 G广东 广西 甘肃 贵州 H河南 河北 湖南 湖北 黑龙江 海南 J江苏 江西 吉林 L辽宁 N内蒙古 宁夏 Q青海 S山东 山西 陕西 四川 上海 T天津 X新疆 西藏 Y云南 Z浙江
 ★ 高考信息汇总 ★ 
 ★ 高考历年真题 ★ 
 ★ 高考历年真题 ★ 
 ★ 高考题库 ★ 
 ★ 高考题库 ★ 

电脑版  |  手机版  |  返回顶部