时间:2019-03-16 02:22:59
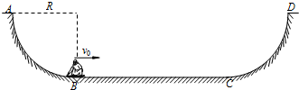
1、简答题 在2010年温哥华冬奥会单板滑雪女子U型池决赛中,我国小将刘佳宇名列第四名.虽然无缘奖牌,但刘佳宇已经创造中国单板滑雪在冬奥会上的最好成绩.单板滑雪U型池的比赛场地截面示意图如图所示,场地由两个完全相同的
| 1 4 |

2、选择题 如图所示,质量为20kg的物体,沿水平面向右运动,它与水平面之间的动摩擦因数为0.1,同时还受到大小为10N的水平向右的力的作用,则该物体(g取10m/s2)( )
A.所受摩擦力大小为20N,方向向左
B.所受摩擦力大小为20N,方向向右
C.运动的加速度大小为1.5m/s2,方向向左
D.运动的加速度大小为0.5m/s2,方向向左
3、选择题 质量为m的探空气球正在匀速下降,若气球所受浮力F始终保持不变,气球在运动过程中所受阻力仅与速率有关,重力加速度为g。现欲使该气球以同样速率匀速上升,则需从气球篮中减少的质量为
[? ]
A.
B.m-
C.2m-
D.2(m-
)
4、简答题 在海滨游乐场有一种滑沙的娱乐活动,深受游客喜欢.如图所示,人坐在滑板上从斜坡高处的A点静止开始滑下,滑到斜坡底端B点后沿水平的滑道再滑行一段距离到C点停下来.滑板与两滑道间的动摩擦因数均为μ=0.5,斜坡倾角θ=37°,斜坡滑道与水平滑道为圆滑过渡,速度由斜面方向转为水平方向时大小不变,不计空气阻力g=10m/s2,sin37°=0.6,cos37°=0.8
(1)若人和滑板的总质量m=60kg,求人在斜坡上下滑时的加速度a1大小为多少;
(2)若由于受到场地的限制,B点到C点的水平距离为s=20m,为确保游客的人身安全,假如你是设计师,你认为在设计斜坡滑道时,下滑的起点A到底端B的长度L应不超过多少?
5、选择题 建筑工人用图所示的定滑轮装置运送建筑材料。质量为70.0 kg的工人站在地面上,通过定滑轮将20.0 kg的建筑材料以0.500 m/s2的加速度拉升,忽略绳子和定滑轮的质量及定滑轮的摩擦,则工人对地面的压力大小为(g取10 m/s2)
[? ]
A.510 N
B.490 N
C.890 N
D.910 N