时间:2019-03-16 02:17:48
1、计算题 (6分)某压力锅的结构如图2所示,盖好密封锅盖,将压力阀套在出气孔上,给压力锅加热,当锅内气体压强达到一定值时,气体就把压力阀顶起.假定在压力阀被顶起时,停止加热.
(1)若此时锅内气体的体积为V,摩尔体积为V0,阿伏加德罗常数为NA,写出锅内气体分子数的估算表达式;
(2)假定在一次放气过程中,锅内气体对压力阀及外界做功1 J,并向外界释放了2 J的热量.锅内原有气体的内能如何变化?变化了多少?
参考答案:(1)
NA (2)内能减少,减少了3 J
本题解析:(1)设锅内气体分子为N
N=
NA.
(2)根据热力学第一定律
ΔU=W+Q=-3 J
锅内气体内能减少,减少了3 J.
本题难度:简单
2、简答题 
质量为M=3.0kg的小车在光滑的水平轨道上匀速向右运动,速度为v1=2m/s。在小车下方中心O处悬挂一根长长的轻绳,绳下端拴一个质量m=2.0kg的钢块,钢块随小车一起运动,轻绳保持竖直方向,如图所示。一颗质量为m’=0.4kg的子弹从左边沿水平方向向右射来,速度为v2=30m/s,与钢块发生碰撞,碰撞时间极短,碰后子弹以20m/s的速度反向弹回。求钢块在此后的运动过程中离最低点的高度的最大值。
参考答案:
3.0m
本题解析:
子弹与钢块相互作用的过程中,动量守恒,设钢块碰后瞬间的速度为v,则
m’·v2+m·v1= m’(-v’2)+m·v,
解出 v= 12m/s。
此后钢块与车的运动过程中,水平方向的动量守恒,系统的机械能也守恒。
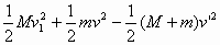
设小球到达最高点时车与钢块的共同水平速度大小为v’, 方向水平向右,钢块上升的最大高度为hm, 则满足
Mv1+mv=(M+m)v’,
mg·hm=
。
由以上各式解出 hm=3.0m。
本题难度:一般
3、选择题 下列说法正确的是(?)
A.光滑水平面上加速运行的物体,由于速度增大,每个分子速度也增大了,所以分子的平均动能增大,内能和机械能都增大
B.能量在利用过程中,总是由高品质的能量最终转化为低品质的内能
C.温度高的物体中的每一个分子的动能,一定大于温度低的物体中的每一个分子的动能
D.温度高的物体中的每一个分子运动的速率,一定比温度低的物体中的每一个分子的运动的速率大
参考答案:B
本题解析:分子热运动的速度与物体机械运动无关,只有物体的温度决定,A错;无论物体温度高低,都有速率低的分子,温度越高只是说分子的平均速率大,速率大的分子数增多,分子速率小的分子数减小,CD错
本题难度:简单
4、计算题 如图所示的导热气缸固定于水平面上,缸内用活塞密封一定质量的理想气体,外界大气压强保持不变。现使气缸内气体温度从27℃缓慢升高到87℃,此过程中气体对活塞做功240J,内能增加了60J。活塞与气缸间无摩擦、不漏气,且不计气体的重力,活塞可以缓慢自由滑动。求:
①缸内气体从外界吸收了多少热量?
②升温后缸内气体体积是升温前气体体积的多少倍?
参考答案:①由热力学第一定律?
?
J?
②
本题解析:①由热力学第一定律?
?(1分)
J? (1分)
②
? (2分)
本题难度:简单
5、填空题 (1)在物理学中,把所研究的对象称为______.描述状态参量物理量,叫做的状态参量.常用的三个状态参量______、______压强、______.
(2)把不同压强、不同温度的气体混在同一容器(体积一定)中,如果容器与外界没有热交换,经过一段时间后,容器内各点的温度、压强变得一样.这时我们就说系统达到了______,否则系统就是______.当系统处于______时,系统所有性质都不随时间而变化.
(3)如果两个系统分别与第三个系统达到热平衡,那么这两个系统彼此之间也必定处于______,这个结论称为______.
(4)一切达到热平衡状态的系统都具有相同的______.
(5)常用的两种温标是______、______,它们的关系是______.
参考答案:(1)在物理学中,把所研究的对象称为系统.描述状态参量物理量,叫做的状态参量.常用的三个状态参量体积、压强、温度.
(2)把不同压强、不同温度的气体混在同一容器(体积一定)中,如果容器与外界没有热交换,经过一段时间后,容器内各点的温度、压强变得一样.这时我们就说系统达到了平衡态,否则系统就是非平衡态.当系统处于平衡态时,系统所有性质都不随时间而变化.
(3)如果两个系统分别与第三个系统达到热平衡,那么这两个系统彼此之间也必定处于热平衡,这个结论称为热平衡定律.
(4)一切达到热平衡状态的系统都具有相同的温度.
(5)常用的两种温标是温标摄氏温标和热力学温标,它们的关系是T=t+273K.
故答案为:
(1)系统,体积、压强、温度.
(2)平衡态,非平衡态,平衡态
(3)热平衡,热平衡定律.
(4)温度
(5)温标摄氏温标,热力学温标,T=t+273K.
本题解析:
本题难度:一般