时间:2019-03-16 01:57:07
1、选择题 带电质点在匀强磁场中运动,某时刻速度方向如图所示,所受的重力和洛伦兹力的合力恰好与速度方向相反,不计阻力,则在此后的一小段时间内,带电质点将
[? ]
A.可能做直线运动
B.可能做匀减速运动?
C.一定做曲线运动
D.可能做匀速圆周运动
参考答案:C
本题解析:
本题难度:一般
2、选择题 如图所示,在第二象限内有水平向右的匀强电场,电场强度为E,在第一、第四象限内分别存在如图所示的匀强磁场,磁感应强度大小相等. 有一个带电粒子以初速度v0垂直x轴,从x轴上的P点进入匀强电场,恰好与y轴成45°角射出电场,再经过一段时间又恰好垂直于x轴进入下面的磁场.已知OP之间的距离为d,则带电粒子(?)
A.在电场中运动的时间为
B.在磁场中做圆周运动的半径为
C.自进入磁场至第二次经过x轴所用时间为
D.自进入电场至在磁场中第二次经过x轴的时间为
参考答案:AD
本题解析:
带电粒子在匀强电场中做类平抛运动,水平方向做匀加速直线运动,竖直方向做匀速直线运动,出电场时与y轴成45°角,
则水平速度与竖直速度相等,则由水平方向
,故A选项正确;竖直方向的位移:y=v0t=2d,带电粒子在匀强磁场中做匀速圆周运动,恰好垂直于x轴进入下面的磁场,如图所示,由几何关系可求出粒子的半径
,所以B选项错误;由匀速圆周运动运动规律知
,
,解得
,粒子垂直进入下面磁场中继续做匀速圆周运动,又垂直x轴出磁场,粒子自进入磁场至第二次经过x轴所用时间为
,选项C选项错误,自进入电场至在磁场中第二次经过x轴的时间为
,故选项D正确。本题的解题关键是画出运动的示意图。
本题难度:一般
3、选择题 在赤道处,将一小球向东水平抛出,落地点为A;给小球带上电荷后,仍以原来的速度抛出,考虑地磁场的影响,下列说法正确的是( )
A.无论小球带何种电荷,小球仍会落在A点
B.无论小球带何种电荷,小球下落时间都会延长
C.若小球带负电荷,小球会落在更远的B点
D.若小球带正电荷,小球会落在更远的B点
参考答案:D
本题解析:小球不带电抛出后,竖直方向是自由落体运动,加速度为g,飞行时间按
;给小球带上正电荷后,小球受洛伦兹力作用,水平分速度不变,洛伦兹力竖直分量不变,竖直分速度变大,洛伦兹力竖直分量变大,竖直方向加速度恒定,a<g,飞行时间
,
,水平距离变大;同理给小球带上正电荷后,a>g,飞行时间
,
水平距离变小。
故选D
点评:偏难。本题的分析关键是带电粒子的运动分解成水平方向和竖直方向来研究,受到的洛伦兹力也分解后再研究。
本题难度:一般
4、选择题 在空间某一区域中既存在匀强电场,又存在匀强磁场.有一带电粒子,以某一速度射入到该区域中(不计带电粒子受到的重力),则该带电粒子在区域中的运动情况可能是(?)
A.做匀速直线运动
B.做匀速圆周运动
C.做匀变速直线运动
D.做匀变速曲线运动
参考答案:AC
本题解析:当粒子所受电场力与洛仑兹力平衡时,粒子做匀速直线运动,选项A正确;由于电场力与洛仑兹力的区别可知,粒子不可能做匀速圆周运动,选项B错误;当粒子速度与磁场方向共线时,粒子不受洛仑兹力,粒子将做匀变速直线运动,选项C正确;同理选项D错误;故选AC
点评:本题难度较小,由于洛仑兹力方向时刻与速度垂直,因此粒子不可能做匀变速曲线运动,抓住洛仑兹力作用特点是关键
本题难度:简单
5、计算题 (18分) 在直角坐标系第一象限与第三象限分布有如图所示的匀强磁场和匀强电场,电场强度为E、磁感应强度为
;现在第三象限中从P点以初速度
沿x轴方向发射质量为
,带
的离子,离子经电场后恰从坐标原点O射入磁场。
(1)已知P点的纵坐标为
,试求P点的横坐标x;
(2)若离子经O点射入磁场时的速度为2
,试求离子在磁场中运动的时间及磁场出射点距O点的距离d。
参考答案:(1)
?(2)
?
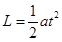
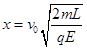
本题解析:(1)粒子从P点抛出后,初速度方向与电场方向垂直,粒子做类平抛运动
竖直方向:
?
水平方向:
整理得:
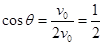
(2)粒子运动轨迹如下图
经过O点时,速度与x轴夹角为
,则根据速度的合成有
即
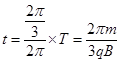
,圆周运动对应的圆心角为
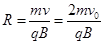
粒子在磁场中匀速圆周运动,洛伦兹力提供向心力
圆周运动半径
圆周运动的周期
粒子圆周运动的时间
根据几何关系得圆周运动弦长即出射点到O点的距离
本题难度:一般