时间:2019-03-16 01:53:23
1、选择题 一个小球从空中某点自由释放,落地后立即以大小相等的速度竖直向上弹起,然后上升到最高点。假设小球在上升和下降过程中受到大小恒定的阻力,规定竖直向下的方向为正方向,则下列v-t图象中能正确反映这一过程的是: 

2、选择题 如图,A、B分别是甲、乙两小球从同一地点沿同一直线运动的v-t图象,根据图象可以判断
[? ]
A.甲、乙两球做初速度方向相反的匀减速直线运动,加速度大小相同方向相反
B.两球在t=8s时相距最远
C.两球在t=2s时速率相等
D.两球在t=8时相遇
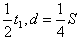
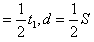
3、选择题 甲乙两车在公路上沿同一方向做直线运动,它们的v-t图象如图所示。两图象在t=t1时相交于P点,P在横轴上的投影为Q,△OPQ的面积为S。在t=0时刻,乙车在甲车前面,相距为d。已知此后两车相遇两次,且第一次相遇的时刻为t′,则下面四组t′ 和d的组合可能是 
[? ]
A.t′=t1,d=S
B.t′=
C.t′
D.t′=
4、计算题 .有一物体作直线运动,其速度图线如图所示。
(1)求出0-2s与4s-6s的加速度
(2) 求出前6 s内的位移?
5、选择题 两辆游戏赛车a、b在两条平行的直车道上行驶。t=0时两车都在同一计时线处,此时比赛开始。它们在四次比赛中的v-t图如图所示。哪些图对应的比赛中,有一辆赛车追上了另一辆
[? ]



