时间:2019-03-16 01:42:48
1、选择题 示波管原理如图所示,电子在电压为
的加速电场中由静止开始运动,然后进入电压为
的偏转电场,最后打在荧光屏上的
点,要使电子打在荧光屏上的位置
到荧光屏中心O的距离增大,下列措施可行的是( )
A.只增大
B.只增大
C.增大
同时减小
D.将电子换成比荷(
)较大的带电粒子
参考答案:B
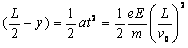
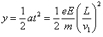
本题解析:电子从K至P做直线加速,由动能定理
,进入偏转电场做类平抛运动,
,
,
,将射出偏转电场的速度反向延长交于水平位移
的中点,由三角形相似可得
,故
与O的距离
,联立各式得
,要使电子打在荧光屏上的位置
到荧光屏中心O的距离增大,即使
增大,可只减小
,或只增大
,或减小
同时增大
.
与电子的比荷无关,所以将电子换成比荷(
)较大的带电粒子
不变.故A、C、D错误,B正确.故选:B.
考点:本题考查了带电粒子在电场中的运动、类平抛运动.
本题难度:一般
2、选择题 带电粒子仅在电场力作用下,从电场中
点以初速度
进入电场,沿虚线所示的轨迹运动到
点,
点为轨迹的最左端,如图所示,则粒子在从
点运动到
点过程中,下列判断中正确的是
A.粒子的加速度在
点时最大
B.粒子在
点时的速度方向与该点的场强方向垂直
C.粒子在
点时的电势能最大,在
点时电势能最小
D.粒子一定带正电,动能先变小后变大
参考答案:D
本题解析:电场线密的地方电场的强度大,粒子在c点场强最大,电场力最大,加速度最大,所以A错误;粒子运动轨迹弯向所受电场力的一侧,由粒子的运动的轨迹可以判断粒子带正电,沿着电场线的方向运动时,电场力做正功,电势能减小,逆着电场线方向运动时,电场力做负功,电势能增大,所以粒子在b点时的电势能最大,在
点时电势能最小,C错误;根据电势能和动能之和不变,动能先变小后变大,D正确;粒子在
点时的速度方向与该点的场强方向(电场力方向)不在一条直线上,但不一定垂直,B错误。
本题难度:简单
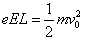
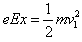
3、计算题 如图所示为研究电子枪中电子在电场中运动的简化模型示意图。在Oxy平面的ABCD区域内,存在两个场强大小均为E的匀强电场I和II,两电场的边界均是边长为L的正方形(不计电子所受重力)。
(1)在该区域AB边的中点处由静止释放电子,求电子离开ABCD区域的位置;
(2)在电场I区域内适当位置由静止释放电子,电子恰能从ABCD区域左下角D处离开,求所有释放点的位置。 
参考答案:解:(1)设电子的质量为m,电量为e,电子在电场I中做匀加速直线运动,出区域I时的为v0,此后电场II做类平抛运动,假设电子从CD边射出,出射点纵坐标为y,有
,
解得y=
所以原假设成立,即电子离开ABCD区域的位置坐标为(-2L,
)
(2)设释放点在电场区域I中,其坐标为(x,y),在电场I中电子被加速到v1,然后进入电场II做类平抛运动,并从D点离开,有
,
解得xy=
即在电场I区域内满足议程的点即为所求位置
本题解析:
本题难度:困难
4、选择题 一台收音机可接收中波、短波两个波段的无线电波,打开收音机后盖,在磁棒上能看到两组线圈,其中一组是细线密绕匝数多的线圈,另一组是粗线疏绕匝数少的线圈,由此可以判断
A.匝数多的电感大,使调谐电路的固有频率较小,故用于接收中波
B.匝数多的电感小,使调谐电路的固有频率较大,故用于接收短波
C.匝数少的电感小,使调谐电路的固有频率较小,故用于接收短波
D.匝数少的电感大,使调谐电路的固有频率较大,故用于接收中波
参考答案:A
本题解析:解答本题必须对匝数与电感大小的关系,电感与固有频率的关系,频率与波长的关系和调谐电路的固有频率与接收电磁波波长的关系很清楚,才能准确选取出正确的选项。根据匝数多密绕的线圈电感大,匝数少疏绕的线圈电感小,可排除B、D选项;根据T=2π ,电感越大,回路固有频率越小,可排除C选项;根据c=fλ,频率越小,波长越大,可知A选项是正确的。
思路分析:根据匝数与电感大小的关系,电感与固有频率的关系,频率与波长的关系和调谐电路的固有频率与接收电磁波波长的关系,准确选取出正确的选项。
试题点评:考查电磁波综合知识的掌握能力
本题难度:一般
5、简答题 平行板电容器二板相距0.1m,将如图变化的电压加在二板上,当在t=0时,电子从二板中央平行于板射入板间的匀强电场中,电子通过电场刚好从一板边缘飞出电场.求:
(1)电子进入电场1×
s偏离射入方向多大?
(2)电子通过电场的过程中动能增加多少?(电子电量1.6×
c,质量9.1×
kg)
参考答案:(1)?
?(2)
本题解析:
本题难度:简单