时间:2019-03-15 18:07:07
1、选择题 如图所示,A、B是匀强电场中相距4 cm的两点,其连线与电场方向成60°,两点间的电势差为200 V,则电场强度大小为( )
A.8 V/m B.50 V/m C.5×103 V/m D.1×104 V/m
参考答案: D
本题解析:由电势和电场强度的关系
,得:
,所以ABC错误,D正确。
考点:本题考查电势和电场强度的关系
本题难度:一般
2、选择题 研究发现,某类微观带电粒子之间的相互作用力F与它们之间距离r的关系为:F=




参考答案:当r1<r<r2时,F=-F0,说明带电粒子间存在引力,带电粒子间距离增大时,引力做负功,势能增大.
根据功能关系有:△U=F0△r=F0(r2-r),即U∞-U=F0(r2-r),U∞=0,得到U=-F0(r2-r).
? 当r=r1时,U=-F0(r2-r1)=-U0.当0<r<r1时,F=0,说明带电粒子间没有作用力,粒子间距离变化时,势能不变,即有U=-U0;
? 当r>r2时,F=0,说明带电粒子间没有作用力,粒子间距离变化时,势能与无穷远处势能相等,U=0;
故选B
本题解析:
本题难度:简单
3、选择题 空间某区域存在着电场,电场线在竖直面上的分布如图所示,一个质量为m、电荷量为q的小球在该电场中运动,小球经过A点时的速度大小为v1,方向水平向右,运动至B点时的速度大小为v2。A,B两点之间的高度差与水平距离均为H,则小球从A点运动至B点的过程中 
[? ]
A.机械能守恒
B.电场力对小球一定做正功
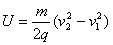
C.电场力做的功为
D.A,B两点间的电势差
参考答案:C
本题解析:
本题难度:一般
4、填空题 在右图所示的电场中,A、B两点相比, ?点的场强较大,?点的电势较高。,?
参考答案:B,? B
本题解析:等差等势面分布越密电场线分布也越密,所以B点场强较大,B点电势为10V,A点电势为6V,所以B点电势较高
本题难度:简单
5、选择题 一正电荷在电场中仅有电场力作用下,从A点运动到B点,速度随时间变化的图象如图所示,tA、tB分别对应电荷在A、B两点的时刻,则下列说法中正确的有 (?)
A.A处的场强一定小于B处的场强
B.A处的电势一定低于B处的电势
C.电荷在A处的电势能一定大于B处的电势能
D.A至B过程中,电场力一定对电荷做负功
参考答案:BD
本题解析:略
本题难度:简单