时间:2019-03-15 17:57:45
1、计算题 (18分)如图甲所示,两平行金属板A、B的板长和板间距离均为L(L=0.1m),AB间所加电压u=200sin100πtV,如图乙所示。平行金属板右侧L/2处有一竖直放置的金属挡板C,高度为13L/12并和A、B间隙正对,C右侧L处有一竖直放置的荧光屏S。从O点沿中心轴线OO/以速度v0=2.0×103m/s连续射入带负电的离子,离子的比荷q/m=3×104 C/kg,(射到金属板上的离子立即被带走,不对周围产生影响,不计离子间的相互作用,离子在A、B两板间的运动可视为在匀强电场中的运动。)离子打在荧光屏上,可在荧光屏中心附近形成一个阴影。π取3,离子的重力忽略。
(1)求荧光屏中心附近阴影的长度。
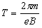
(2)为使从A极板右侧边缘打出的离子能到达屏的中点O/,可在挡板正上方一圆形区域加垂直纸面向里的匀强磁场,磁感应强度大小为B=
T(圆心在挡板所在垂线上,图中未画出),求所加圆形磁场的面积和离子在磁场区域运动的时间。(计算结果全部保留二位有效数字)
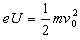
2、计算题 带电粒子在AB两极板间靠近A板中央附近S处静止释放,在两极板电压中加速,从小孔P平行CD极板方向的速度从CD极板中央垂直进入偏转电场,B板靠近CD板的上边缘如图甲.在CD两板间加如图乙所示的交变电压,设
时刻粒子刚好进入CD极板,
时刻粒子恰好从D板的下边缘飞入匀强磁场,匀强磁场的上边界与CD极板的下边缘在同一水平线上,磁场范围足够大,加速电场AB间的距离,偏转电场CD间的距离及CD极板长均为
,图象乙中
和
都为已知,带电粒子重力不计,不考虑电场和磁场边界影响.求:

(1)加速电压
?
(2)带电粒子进入磁场时的速度?
(3)若带电粒子在
时刻刚好从C极板的下边缘进入偏转电场,并刚能返回到初始位置S处,求
(4)带电粒子全程运动的周期
3、计算题 如图所示为一离子选择器,极板A、B间距为d,用来研究粒子的种类及偏向角,在A、B间加电压,B板电势高于A板电势,且A、B极板间有垂直纸面向外的匀强磁场,磁感应强度为Bl,P为一剐性内壁光滑绝缘的两端开口的直细管"右端开口在一半径为R的圆形磁场区域中心O点(即坐标原点),此磁场方向为垂直纸面向里的匀强磁场,磁感应强度为B2。细管的中心轴所在直线通过S粒子源,粒子源可发出电荷量为q、质量为m、速度大小、方向都不同粒子。当有粒子从圆形区域磁场射出时,其速度方向与x轴的夹角为偏向角。不计粒子重力。
(1)若已知A、B间电压值为U,求能射入直细管中的粒子速度v的大小;
(2)若粒子能从圆形区域磁场射出时,其偏向角为
,求A、B间的电压值U1;
(3)若粒子能从圆形区域磁场射出时,A、B间的电压值U2应满足什么条件?
4、计算题 如图所示,在x<0且y<0的区域内存在匀强磁场,磁场方向垂直于xy平面向里.磁感应强度大小为B,在x>0且y<0的区域内存在沿y轴正方向的匀强电场. 一质量为m、电荷量为q的带电粒子从x轴上的M点沿y轴负方向垂直射入磁场,结果带电粒子从y轴的N点射出磁场而进入匀强电场,经电场偏转后打到x轴上的P点,已知
=
=
=l。
不计带电粒子所受重力,
求:(1)带电粒子进入匀强磁场时速度的大小;
(2)带电粒子从射入匀强磁场到射出匀强电场所用的时间;
(3)匀强电场的场强大小.
5、计算题 如右图所示,在某空间实验室中,有两个靠在一起的等大的圆柱形区域,分别存在着等大反向的匀强磁场,磁感应强度
,磁场区域半径
,左侧区圆心为
,磁场向里,右侧区圆心为
,磁场向外.两区域切点为C.今有质量
.带电荷量
的某种离子,从左侧区边缘的A点以速度
正对O1的方向垂直磁场射入,它将穿越C点后再从右侧区穿出.求:
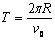
(1)该离子通过两磁场区域所用的时间.
(2)离子离开右侧区域的出射点偏离最初入射方向的侧移距离为多大?(侧移距离指垂直初速度方向上移动的距离)